- MCM布局布線的軟件實現
- MCM布局布線的仿真分析
- IBIS模型
- 反射分析
- EMI分析
推薦閱讀:
信號完整性的電路板設計準則
http://m.shuilikongzhifa.com/art/artinfo/id/80014391
靜電放電保護時怎樣維持USB信號完整性
http://m.shuilikongzhifa.com/art/artinfo/id/80014261
常用信號完整性的測試手段和在設計的應用
http://m.shuilikongzhifa.com/art/artinfo/id/80014529
摘要:隨著封裝密度的增加和工作頻率的提高,MCM電路設計中的信號完整性問題已不容忽視。本文以檢測器電路為例,首先利用APD軟件實現電路的布局布線設計,然后結合信號完整性分析,對電路布局布線結構進行反復調整,最后的Spectra Quest軟件仿真結果表明,改進后的電路布局布線滿足信號完整性要求,同時保持較高的仿真精度。
隨著集成電路工藝技術的發展,多芯片組件工作速度越來越高,高速信號的處理已成為MCM電路設計能否成功的關鍵。當時鐘信號的上升沿或下降沿很小時,就會導致傳輸線效應,即出現信號完整性問題。
本設計按照圖1所示的MCM布局布線設計流程,以檢測器電路為例,詳細闡述了利用信號完整性分析工具進行MCM布局布線設計的方法。首先對封裝零件庫加以擴充,以滿足具體電路布局布線設計的需要;然后利用APD(Advanced Package Designer)軟件直接調用零件封裝符號,完成電路初步的布局布線設計;最后結合反射、延時和電磁兼容等信號完整性仿真分析結果進行反復調整,改進后的電路布局布線減小了信號的反射,輸入信號的相對延時不超過0.2ns,電磁干擾現象也得到了抑制,滿足信號完整性要求。

如上所述,MCM布局布線的實現包括電路原理圖生成、擴充零件庫及最終的布局布線完成和加工數據文件輸出。APD Layout包括Padstack(*.pad)、Package Symbol(*.psm)、Mechanical Symbol(*.bsm)、Format Symbol (*.osm)和Shape Symbol(*.ssm)五種,MCM布局布線設計中,所有的布局都必須有正確的Library Packing。MCM設計軟件自帶封裝庫往往不能滿足具體設計要求,只有擴充零件庫后,才能直接調用零件進行布局布線設計及最終的工藝文件輸出。首先利用Padstack Editor軟件擴充零件庫,然后對電路進行封裝,并通過Concept HDL給APD軟件導出電連接網表文件,最后完成電路布局布線。以檢測器電路為例,其原理圖主要部分如圖2所示,圖3為CCT(Spectra)布線后的形式。整個設計中,定義了16個Padstack和81個封裝符號,進行251次調用Padstack和89次調用功能單元,其中共用到了251個元件封裝符號引腳和229個功能單元引腳。

[page]
MCM布局布線的仿真分析
IBIS模型
Spectra Quest和其他電路分析軟件一樣,要得到精確的仿真結果,必須首先給電路元件提供精確的電氣模型。Spectra Quest軟件使用的是IBIS模型。IBIS(輸入/輸出緩沖信息規范)模型采用I/V和V/T表的形式來描述I/O單元和引腳的特性,是一種基于V /I曲線的對I/O BUFFER快速準確建模的方法。它提供一種標準的文件格式來記錄如驅動器或接收器輸出阻抗、上升/下降時間及輸入負載等參數,這些參數由Spectra Quest來讀取。IBIS模型具有信號完整性分析所需要的信息,非常適合做振蕩和串擾等高頻效應的計算與仿真。

反射分析
反射即傳輸線上的回波,是由于阻抗的不連續而引起的。源端與負載端阻抗不匹配會引起線上的反射,負載將一部分電壓反射回源端。如果負載阻抗小于源阻抗,反射電壓為負;反之,反射電壓為正。理想的情況是輸出阻抗、傳輸線阻抗及負載阻抗均相等,此時,傳輸線的阻抗是連續的,不會發生任何反射。反射電壓信號的幅值由源端反射系數rS和負載反射系數rL決定,分別如下式所示:

式中,RS為源阻抗,Z0為傳輸線阻抗,RL為負載阻抗。若RL=Z0,則負載反射系數rL=0;若RS=Z0,則源端反射系數rS=0。
解決傳輸線反射的關鍵是阻抗控制,阻抗匹配可以抑制傳輸線反射,主要有:并聯端接、Thevenin等效并聯端接、AC端接和串聯端接法四種匹配端接方法。這里采用Thevenin等效并聯端接法,對檢測器電路輸入部分阻抗進行控制,然后提取電路拓撲結構,分別仿真匹配端接前、后電路的傳輸特性。
用頻率為50MHz,占空比為0.5的Pulse信號作觸發,圖4和圖5分別為利用Signoise工具仿真得到的匹配端接前、后的仿真波形。從圖中可以看出,端接前,波形在上升沿有畸變發生,容易引起誤操作。匹配端接有效地消除了信號的畸變,單調性很好,而且在上升沿拉升了原信號,提前進入電平切換,增加了信號的穩態時間,信號的上升沿也比較平穩。雖然在高電平的維持階段有上過沖,但對信號確認沒有影響,信號質量比較理想。另外,信號傳輸線長度對反射也有一定的影響。仿真發現,傳輸線較長時,出現了預示的反射現象,如圖6所示;而傳輸線較短時,仿真波形和分析結果吻合得很好,如圖7所示。表1為上述兩種情況下的波形仿真參數。所以,布線長度不同,其處理方法也應不同。一般來說,走線長度小于2英寸,以集總參數的LC電路來處理;大于8英寸,則以分布參數的傳輸線電路來對待。

延時分析
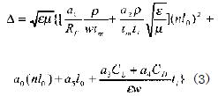
隨著系統工作頻率的升高,當信號上升沿或下降沿很陡時,布線延時不能再被忽略。它對信號的建立和保持起著至關重要的作用,甚至可能影響系統的時序,產生誤操作,所以必須予以考慮。MCM高速電路設計要求存儲芯片的相位偏差不能過大,因此驅動端到接收端的布線延時應大致相等。延時和信號線長度的關系如下式所示:

式中,e為介電常數,r為電阻率,w為線寬,l0為芯片之間的平均距離。由式(3)可以看出,信號線長度對傳輸質量影響很大,可能使信號在傳輸過程中產生畸變。信號傳輸質量隨著線長的增加而變差,對于過長的信號線,應采用源端或終端匹配的方法來改善傳輸質量。利用信號完整性仿真工具,可以方便地模擬從驅動端到各芯片的延時,然后結合仿真結果對布局布線進行調整,以達到預定的要求。
檢測器的每個信號應盡可能保持同一傳輸延遲,這就要求布線時盡量保持長度一致,對于微弱的差別,可以根據仿真結果延長或縮短布線。完成布線以后,再利用Spectra Quest軟件仿真輸入信號的傳輸延遲,具體參數如表2所示。可以看出,其相對延時不超過0.2ns,仿真結果比較理想。

EMI分析
以上在時域中分析了信號的反射和延時,除此之外,EMI(電磁干擾)也是高速電路設計的一個重要方面。
電磁干擾包括過量的電磁輻射和對電磁輻射的敏感性兩方面,工作頻率太高、信號變化太快或布局布線不合理等都會引起電磁干擾效應。分別對改變布線策略,增加終端匹配前、后的檢測器電路進行EMI仿真。圖8為布局布線調整前的仿真波形,垂直條長度指信號在該頻率的電磁輻射強度,橫線指系統可承受的最大輻射強度。從圖中可以看到,信號所產生的噪聲從0延續到2GHz,范圍很寬,而且每個頻率的輻射強度不盡相同,某些頻率的輻射強度超出了限制,即信號在該頻率的電磁干擾已經超出系統所能承受的程度,應該采取措施降低其輻射水平。按照前述的方法進行阻抗控制,并盡量減小布線長度,重新仿真的結果如圖9所示。可以看到,超過限制的頻率波已降到橫線以下,并且各頻率點的輻射強度均有所下降,整個輻射強度都有所降低。這說明,對于傳輸信號,改變布線長度和增加適當的匹配端接網絡,不僅改善了信號的傳輸特性,也降低了電磁輻射強度,提高了信號的質量。

高速電路設計時,首先利用精確的器件模型對系統功能進行信號完整性和EMI仿真分析,以此來確定電路的布局布線,然后再進行仿真,對布線網絡加以改進,直至得到滿意的布線結果。本設計主要對MCM布局布線設計技術,結合檢測器封裝實例,分別在時域和頻域對MCM布局布線時的反射、延時和EMI等問題進行了仿真和分析,取得了較好的效果。




