【導讀】在通信系統設備中,電源的設計通常分一次電源和二次電源兩部分,一次電源系統的輸入是50Hz交流電,電壓根據國家不同分220V和110V兩種,輸出通常為-48V。二次電源通常指從-48V或-24V轉換成5V、3.3V等低電壓以及從低壓到低壓的轉換電源。
現代集成電路工藝已進入亞微米階段,數字信號的上升/下降時間普遍為亞納秒量級,這使高速數字系統的設計面臨巨大挑戰。晶體管尺寸越來越小,使得其工作電壓越來越低,同時時鐘頻率不斷上升,微處理器(CPU)和各種專用芯片(ASIC)集成的功能越來越多,其消耗的功率也越來越大,這對電源系統的穩定性和可靠性提出了更高的要求。
在采用集中供電的二次電源系統中,板卡插入主機時,主機已經處于穩定的工作狀態,所有容性負載均已充電。待插的板卡是不帶電的,板卡上的容性負載沒有充電。在熱插入過程中,待插板卡上的電容瞬間充電。充電過程將在插入的瞬間從系統電源吸納大量的電流,導致系統電壓瞬間跌落,影響其它板卡的正常運行。在電源線接觸的瞬間,系統電源的輸出電阻和待插板卡的電容組成RC充電通道,由于電源的輸出電阻很小,浪涌電流非常大。在拔出板卡的過程中,板卡上的旁路電容放電,和背板之間形成一個低阻通道,也會產生瞬間大電流。浪涌電流攜帶大量的能量,會毀壞接口器件、連接器和金屬連線。為了防止上述情況發生,所以要對電源系統進行必要的保護性設計。
二次電源的濾波保護
對于采用-48V輸入電壓供電的系統中,各單板的輸入電路的濾波和保護電路的設計一般要遵循的原則是:滿足相關的可靠性和電磁兼容技術標準的要求,相應的標準可以參考公司的技術標準和國際通行的標準。通常應用如圖1所示的電路。
圖1:典型-48V電源輸入濾波保護電路
輸入保護電路一般分防雷擊保護和輸入電壓反接保護,D1為單極性瞬態抑制二極管,插件封裝的推薦型號為1.5KE68A,D2為輸入電壓防反接二極管,插件封裝的推薦型號為SB560,D2也可以用保險絲替代,在單板總功率大于50W時,考慮D2的功率耗散建議使用保險絲。
濾波電路由一級π形濾波器和一級共模濾波器組成,C2、C3為鋁電解電容,電壓大于100V,建議使用105℃工作范圍的,容量在47~470μF,C1、C4為高頻濾波電容,推薦使用X7R材質的瓷片電容,或聚酯薄膜電容,容量0.47~1.5μF,耐壓大于63V。L1選用電感量在100~300μH之間,工作電流根據單板總功率確定,考慮電感的飽和因素,最好按50%降額。L2選取電感量在100~300μH之間,注意這個電感要采用間繞方式,減少線間電容,電流選取同L1,C6為輻射噪聲抑制電容,選用時注意耐壓大于500V,容量大于1000pF。C7、C8為輸出濾波電容,C7選用鉭電容,輸出5V時選用耐壓10V的,輸出3.3V時選用耐壓6.3V的,容量均在220μF以上,C8建議選用高頻瓷片電容,容量在10~22μF之間,耐壓一般大于6.3V即可。
圖2及圖3中輸出電壓分別為3.3V和1.5V時電源紋波大小分別為48.8mV和41.2mV,可以看到電源輸入濾波保護電路效果明顯。
圖2:輸出電壓3.3V時的紋波
圖3:輸出電壓1.5V時的紋波
電源的緩啟保護
緩啟保護電路的原理
從上面的分析可知,解決帶電插拔不利影響的根本措施是減少浪涌電流,浪涌電流是由于待插板卡的容性負載在上電瞬間充電引起的。由公式I=Cdv/dt可知,上電時間直接決定了浪涌電流的大小。在一般的帶電插拔過程中,充電電壓相當于一個階躍激勵,dv/dt極大。我們知道在采RC充電回路中,電容的充電時間可以簡單地通過改變R和C值來設定,如果利用這個漸變的電壓控制一個在一定電壓下導通的MOS管,就可以非常有效地減少浪涌電流的值,從而最大程度地減少帶電插拔帶來的負面影響。
緩啟保護電路
下面我們詳細介紹緩啟電路的工作原理和電路中各個關鍵元器件參數之間的關系,為不同場合的實際應用提供參考。圖4為實際中經常使用的綜合緩啟電路。保險絲F1限制最大電流,一般采用慢熔保險絲,保險絲的額定電流是板卡最大工作電流的2~3倍。R1、R2、C4和R3、R4、C5分別組成兩條RC充電回路給P溝道MOS管IRF7410提供柵極電壓。兩條不同的充電回路具有不同的RC充電時間,以滿足單板上不同上電順序的需要。R1、R2和R3、R4的作用是通過與接地電阻之間的分壓,直接給MOS管的柵級提供一個開啟電壓,縮短了MOS管達到開啟電壓的時間,在R2上并聯一個電容C3使得兩個緩起電路避開同時達到MOS管的開啟電壓,減少單板的開關噪聲。
圖4:3.3V電源緩啟保護電路
L1和L2對電源進行電感濾波后通過MOS管提供給單板。濾波電感個數和IRF7410個數的選擇,取決于單板3.3V電源電流的大小,為了保持單板電路系統的穩定,需要把濾波電感和緩啟電路引入的壓降控制在0.1V左右,其中電感的直流電阻是10mΩ,IRF7410的導通電阻是8mΩ,以單板3.3V功耗在30W左右的單板為例,電流達到了10A,那么必須把導通電阻控制在10mΩ以內,考慮到器件的離散性,在留夠裕量后,電感采用用2個,IRF7410采用3~4個,實際使用中可以通過具體調試確定具體的數量。
在電感前面放置一個續流二極管D1,在系統斷電時給電感L1和L2所產生的感應電動勢一放電回路。0.1μF的瓷片電容和1μF的瓷片電容C1、C2,減少了單板內的開關噪聲干擾。在單板重負載時,可以適當增加電容個數。C6、C7和C8、C9分別對輸出的電源再進行一次濾波,使單板最終得到平滑穩定的電源。
緩啟保護電路的理論計算和實驗結果
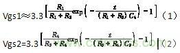
圖4中Q1和Q4的柵源級電壓分別為

P溝道MOS管IRF7410的開啟電壓Vgs大約為-0.9V,根據式(1)及式(2),電源緩啟回路導通時間t1≈0.815ms,t2≈40.9μs。如圖5和圖6所示,緩啟回路1的緩啟時間t1=1.36ms,緩啟回路2的緩啟時間t2=31.2μs。理論計算與實際測量的誤差主要是因為忽略電容C3以及電阻值和IRF7410導通電壓的誤差所致,但是并不影響實際電路的使用。圖7所示為拔掉單板時輸出電壓波形圖,可以看出由于RC放電回路的存在,IRF7410管并不立即截止,單板不立即掉電,對單板電路也可起到一定的保護作用。
圖5:3.3VOut1緩啟過程
圖6:3.3VOut2緩啟過程
圖7:拔掉單板時3.3VOut1掉電過程
上述緩啟電路在實際使用過程中,可以根據單板的電源電壓,上電時序和上電時間要求,靈活選用不同的RC回路的電阻和電容和MOS管,在RC回路中設定不同的分壓比,達到對單板電源緩啟的目的。
安全穩定可靠的電源系統,在通信系統中有著舉足輕重的作用。本文給出了在通信系統中的二次電源電路的DC/DC模塊前的濾波保護電路,以及采用集中供電方式中各個單板對輸入電源的緩啟電路。闡述了在實際設計使用中應考慮的問題,實際測量的結果符合預期的目標。上述電路在通信系統中具有廣泛的應用價值.