【導讀】Z源逆變器(ZSI)是一種DC/AC轉換器,可以單級執行降壓和升壓功能。ZSI克服了傳統系統的概念和理論限制,可以在不使用DC/DC升壓轉換器或升壓變壓器的情況下提升DC輸入電壓。本文針對無傳感器控制的BLDC電機,提出了一種采用巧妙的隨機脈寬調制(RPWM)技術的ZSI驅動器,旨在提高BLDC電機驅動系統的性能。
Z源逆變器(ZSI)是一種DC-AC轉換器,可以單級執行降壓和升壓功能。ZSI的一個獨特優勢是其直通狀態,在這種狀態下,同橋臂的兩個開關可以在同一瞬間即時導通。不需要死區時間,輸出失真也大大降低,不使用LC濾波器就能提供更高的輸出。ZSI克服了傳統系統的概念和理論障礙及限制,在沒有DC-DC升壓轉換器或升壓變壓器的幫助下也可以提升DC輸入電壓。
永磁無刷直流(BLDC)電機由于其更高的效率、更大的功率重量比和更低的維護成本而被用于多種應用場合。梯形電動勢(EMF)BLDC電機需要轉子位置信息以便為變頻器驅動排序。這種位置信息通常是由放置在電機非驅動端的三個霍爾效應傳感器產生的。但是,這些對溫度敏感的傳感器不但會增加電機成本,而且需要特殊的機械設置來安裝固定。
本文旨在探討如何提高BLDC電機驅動系統的性能,為此提出了一種ZSI驅動方案,即采用巧妙的隨機脈寬調制(RPWM)技術來驅動無傳感器控制的BLDC電機。所提出的系統使用反電動勢(BEMF)感測進行位置估算,并且ZSI驅動可以提供更寬范圍的升壓電壓。針對ZSI-BLDC電機驅動,本文提出了一種迂回的雙隨機性簡單升壓脈寬調制(DTRSBPWM)技術,該方法能夠以四種初始載波實現兩種方式的隨機性。
其中兩個載波是正常和反向的固定頻率三角波,第三和第四載波是通過混沌頻率發生器及其逆變器獲得的變頻三角波。DTRSBPWM諧波功率分配方法要勝過簡單升壓PWM(SBPWM)方法。驅動系統的仿真研究是在MATLAB軟件上完成的,并且已經使用SPARTAN-6場可編程門陣列(FPGA)(XC6SLX45)器件進行了驗證。本文將重點討論輸出線電壓的總諧波失真(THD)、直流母線利用率,以及諧波擴展因子(HSF)。
ZSI工作原理
Z源逆變器是一種DC-AC轉換器,可以作為單級執行降壓和升壓功能。ZSI克服了傳統系統的概念和理論障礙及限制,在沒有DC-DC升壓轉換器或升壓變壓器的幫助下也可以提升DC輸入電壓。ZSI的工作原理可以分為四種模式。第一種模式是傳統的主動狀態(active state)模式,即逆變器橋充當直流鏈路的電流源。第二種模式是直通狀態模式,即逆變器橋在兩個傳統的零矢量之一中工作,直通逆變器的上下三個器件。第三種模式是非直通模式,即電感電流協助降低線電流的諧波。第四種模式是傳統的零狀態,即逆變器橋在其中的一種零狀態下工作。
簡單升壓PWM
ZSI最常用的開關方法是簡單升壓PWM。這是一種簡單的辦法,只需兩條直線來控制直通狀態。當三角波形高于上包絡線VP,或低于下包絡線VN 時,電路工作在直通狀態。其它情況下,它就像傳統的載波PWM一樣工作。在簡單升壓PWM期間,整個器件產生的電壓應力很高。
ZSI饋電式BLDC電機的無傳感器控制
ZSI的無傳感器控制如圖1所示,通過估算反電動勢的過零瞬間(來自端子電壓)和正確的換向瞬間,并饋送到ZSI電路,對BLDC電機進行無傳感器控制。電機的速度控制是通過一個比例積分控制器(PIC)來感應的,并與控制動作的參考速度進行比較。

圖1:ZSI饋電式BLDC電機的無傳感器控制。
建議的RPWM方法
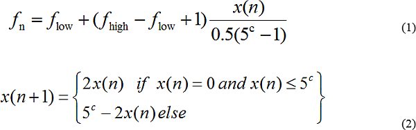
所提議的DTRSBPWM方法涉及兩個級別的隨機性,利用四個(兩組)三角載波來實現。三角載波是在混沌數字生成器的幫助下生成的。基于混沌的PWM的基本原理是使用混沌信號來改變開關頻率或載波頻率。被限制在一個預定范圍內的混沌數被饋送到三角波發生器,該數目固定為當前載波周期的頻率并生成載波。載波的數量和頻率每個周期都改變。我們來深入探究一下由公式(1)描述的混沌序列。

其中,fn是混沌PWM的第n個開關頻率,混沌序列xn 可以簡單地通過迭代生成。因此,開關頻率可以從下限flow變化到上限fhigh。任意的周期性軌跡可以通過使用c的不同值得到。通過混沌序列獲得的典型三角載波如圖2所示。這種載波形式及其180º相移(反相器形式)被認為是第一組載波。

圖2:通過混沌序列的三角載波。
第二組載波是普通的三角波及其反相形式。雙隨機載波由偽隨機二進制序列(PRBS)表示。對于4×1多路復用器(MUX),如圖3所示,所有四個載波都作為輸入提供,周期選擇則由線性反饋移位寄存器(LFSR)中的兩個選擇位完成。多路復用器(MUX)的輸出是所需的隨機載波,與傳統的正弦PWM(SPWM)情況下的正弦參考值進行比較,以獲得脈沖。

圖3:DTRSBPWM發生器的邏輯示意圖。
仿真和實驗調查
仿真是在MATLAB-Simulink(版本2010a)軟件中用常微分方程(ODE)求解器ode23tb進行的。表1和表2分別列出了ZSI和BLDC電機的規格。混沌頻率限定在2kHz和4kHz之間。另外兩個載波分別是+3kHz和-3kHz。圖10顯示了無傳感器BLDC驅動系統的Simulink原理圖。

表I:ZSI的規格。

表2:無刷DC電機的規格。
圖4顯示了阻抗網絡電容和電感兩端的電壓。

圖4:電感和電容兩端的電壓。
圖5顯示了ZSI的輸出電壓。

圖5:ZSI的輸出波形。
預估的BEMF波形如圖6所示, A相電流和A相BEMF如圖7所示。

圖6:預估的BEMF波形。

圖7:定子波形。
圖8和圖9顯示了開發系統對電源電壓和負載轉矩階躍變化的抗干擾性能。

圖8:電源電壓從 - 350 Vdc變化至300Vdc時的速度響應。

圖9:速度響應隨負載轉矩變化而變化。
在負載轉矩TL=1.5Nm的情況下,轉速從950變為1000rpm的速度響應如圖10所示。

圖10:轉速從950到1000rpm(TL=1.5Nm)時的速度響應。

表3:諧波傳播能力。
所提議的驅動系統可以使用SPARTAN-6現場可編程門陣列(XC6SLX45)器件實現。該架構使用VHDL語言進行設計,其功能仿真使用Modelsim 6.3工具進行。使用綜合工具Xilinx ISE 13.2可以完成寄存器傳輸級(RTL)驗證和實現。
本文提出的基于ZSI的BLDC電機驅動和無傳感器速度控制具有很多優點,不但能夠提升直流電源的電壓并提高系統的安全性,而且適用于惡劣環境,因為它不需要傳感器和導線。其它優點還包括低成本、小尺寸和少維護等。基于四個三角載波的新型隨機脈寬調制方案改進了系統的諧波功率擴展特性。在DTRSBPWM的情況下,HSF的值降低,從而可降低噪聲和機械振動。
本文轉載自電子技術設計。
推薦閱讀: