【導讀】在科技高度發達的今天,自動控制和自動檢測在人們的日常生活和工業控制所占的比例也越來越重,使人們的生活越來越舒適,工業生產的效率越來越高。
而傳感器是自動控制中的重要組成部件,是信息采集系統的重要部件,通過傳感器將感受或響應的被測量轉換成適合輸送或檢測的信號(一般為電信號),再利用計算機或者電路設備對傳感器輸出的信號進行處理從而達到自動控制的功能,由于傳感器的響應時間一般都比較短,所以可以通過計算機系統對工業生產進行實時控制。

紅外傳感器是傳感器中常見的一類,由于紅外傳感器是檢測紅外輻射的一類傳感器,而自然界中任何物體只要其穩定高于絕對零度都將對外輻射紅外能量,所以紅外傳感器稱為非常實用的一類傳感器,利用紅外傳感器可以設計出很多實用的傳感器模塊,如紅外測溫儀,紅外成像儀,紅外人體探測報警器,自動門控制系統等。

宇宙間的任何物體只要其溫度超過零度就能產生紅外輻射,事實上同可見光一樣,其輻射能夠進行折射和反射,這樣便產生了紅外技術,利用紅外光探測器因其獨有的優越性而得到廣泛的重視,并在軍事和民用領域得到了廣泛的應用。軍事上,紅外探測用于制導、火控跟蹤、警戒、目標偵查、武器熱瞄準器、艦船導航等;在民用領域,廣泛應用與工業設備監控、安全監視、救災、遙感、交通管理以及醫學診斷技術等。
紅外傳感器定義

紅外線傳感器是用紅外線的物理性質來進行測量的傳感器。紅外線又稱紅外光,它具有反射、折射、散射、干涉、吸收等性質。它是一種不可見光,其光譜位于可見光中紅色以外,所以稱紅外線。
工程上把紅外線占據在電磁波譜中的位置(波段)分為:近紅外、中紅外、遠紅外、極遠紅外四個波段。任何物質,只要它本身具有一定的溫度(高于絕對零度),都能輻射紅外線。
紅外傳感器的測量基礎原理
首先了解一下紅外光。紅外光是太陽光譜的一部分,紅外光的最大特點就是具有光熱效應,輻射熱量,它是光譜中最大光熱效應區。紅外光一種不可見光,與所有電磁波一樣,具有反射、折射、散射、干涉、吸收等性質。紅外光在真空中的傳播速度為300000Km/s。紅外光在介質中傳播會產生衰減,在金屬中傳播衰減很大,但紅外輻射能透過大部分半導體和一些塑料,大部分液體對紅外輻射吸收非常大。

不同的氣體對其吸收程度各不相同,大氣層對不同波長的紅外光存在不同的吸收帶。研究分析表明,對于波長為1——5μm、 8——14μm區域的紅外光具有比較大的“透明度”。即這些波長的紅外光能較好地穿透大氣層。自然界中任何物體,只要其溫度在絕對零度之上,都能產生紅外光輻射。紅外光的光熱效應對不同的物體是各不相同的,熱能強度也不一樣。例如,黑體(能全部吸收投射到其表面的紅外輻射的物體)、鏡體(能全部反射紅外輻射的物體)、透明體(能全部穿透紅外輻射的物體)和灰體(能部分反射或吸收紅外輻射的物體)將產生不同的光熱效應。
嚴格來講,自然界并不存在黑體、鏡體和透明體,而絕大部分物體都屬于灰體。上述這些特性就是把紅外光輻射技術用于衛星遙感遙測、紅外跟蹤等軍事和科學研究項目的重要理論依據。
紅外輻射的物理本質是熱輻射。物體的溫度越高,輻射出來的紅外線越多,紅外輻射的能量就越強。研究發現,太陽光譜各種單色光的熱效應從紫色光到紅色光是逐漸增大的,而且最大的熱效應出現在紅外輻射的頻率范圍內,因此人們又將紅外輻射稱為熱輻射或熱射線。
紅外輻射的基本定律
基爾霍夫定律:在一定溫度下,地物單位面積上的輻射通量W和吸收率之比,對于任何物體都是一個常數,并等于該溫度下同面積黑體輻射通量W。在給定的溫度下,物體的發射率=吸收率(同一波段);吸收率越大,發射率也越大。
地物的熱輻射強度與溫度的四次方成正比,所以,地物微小的溫度差異就會引起紅外輻射能量的明顯變化。這種特征構成了紅外遙感的理論基礎。
玻耳茲曼定律:即黑體總輻射通量隨溫度的增加而迅速增加,它與溫度的四次方成正比。因此,溫度的微小變化,就會引起輻射通量密度很大的變化。是紅外裝置測定溫度的理論基礎。
維恩位移定律:隨著溫度的升高,輻射最大值對應的峰值波長向短波方向移動。
紅外傳感器的工作原理并不復雜,一個典型的傳感器系統各部分的實體分別是:
1、待測目標:根據待測目標的紅外輻射特性可進行紅外系統的設定。
2、大氣衰減:待測目標的紅外輻射通過地球大氣層時,由于氣體分子和各種氣體以及各種溶膠粒的散射和吸收,將使得紅外源發出的紅外輻射發生衰減。
3、光學接收器:它接收目標的部分紅外輻射并傳輸給紅外傳感器。相當于雷達天線,常用是物鏡。
4、輻射調制器:對來自待測目標的輻射調制成交變的輻射光,提供目標方位信息,并可濾除大面積的干擾信號。又稱調制盤和斬波器,它具有多種結構。
5、紅外探測器:這是紅外系統的核心。它是利用紅外輻射與物質相互作用所呈現出來的物理效應探測紅外輻射的傳感器,多數情況下是利用這種相互作用所呈現出來的電學效應。此類探測器可分為光子探測器和熱敏感探測器兩大類型。
6、探測器制冷器:由于某些探測器必須要在低溫下工作,所以相應的系統必須有制冷設備。經過制冷,設備可以縮短響應時間,提高探測靈敏度。
7、信號處理系統:將探測的信號進行放大、濾波,并從這些信號中提取出信息。然后將此類信息轉化成為所需要的格式,最后輸送到控制設備或者顯示器中。
8、顯示設備:這是紅外設備的終端設備。常用的顯示器有示波器、顯像管、紅外感光材料、指示儀器和記錄儀等。
依照上面的流程,紅外系統就可以完成相應的物理量的測量。紅外系統的核心是紅外探測器,按照探測的機理的不同,可以分為熱探測器和光子探測器兩大類。
熱探測器對入射的各種波長的輻射能量全部吸收,它是一種對紅外光波無選擇的紅外傳感器。光子探測器常用的光子效應有外光電效應、內光電效應(光生伏特效應、光電導效應)和光電磁效應。熱探測器是利用輻射熱效應,使探測元件接收到輻射能后引起溫度升高,進而使探測器中依賴于溫度的性能發生變化。檢測其中某一性能的變化,便可探測出輻射。多數情況下是通過熱電變化來探測輻射的。當元件接收輻射,引起非電量的物理變化時,可以通過適當的變換后測量相應的電量變化。
熱敏探測器對紅外輻射的響應時間比光電探測器的響應時間要長得多。前者的響應時間一般在ms以上,而后者只有ns量級。熱探測器不需要冷卻,光子探測器多數要冷卻。
紅外線傳感器的分類
常見紅外傳感器可分為熱傳感器和光子傳感器。
熱傳感器
熱傳感器是利用入射紅外輻射引起傳感器的溫度變化,進而使有關物理參數發生相應的變化,通過測量有關物理參數的變化來確定紅外傳感器所吸收的紅外輻射。
熱探測器的主要優點是相應波段寬,可以在室溫下工作,使用簡單。但是,熱傳感器相應時間較長,靈敏度較低,一般用于低頻調制的場合。
熱傳感器主要類型有:熱敏傳感器型,熱電偶型,高萊氣動型和熱釋放電型四種。
1、熱敏電阻型傳感器
熱敏電阻是由錳、鎳、鈷的氧化物混合后燒解而成的,熱敏電阻一般制成薄片狀,當紅外輻射照射在熱敏電阻上,其溫度升高,電阻值減少。測量熱敏電阻值變化的大小,即可得知入射的紅外輻射的強弱,從而可以判斷產生紅外輻射物體的溫度。
2、熱電偶型傳感器
熱電偶是由熱電功率差別較大的兩種材料構成。當紅外輻射到這兩種金屬材料構成的閉合回路的接點上時,該接點溫度升高。而另一個沒有被紅外輻射輻照的接點處于較低的溫度,此時,在閉合回路中將產生溫差電流。同時回路中產生溫差電勢,溫差電勢的大小,反映了接點吸收紅外輻射的強弱。利用溫差電勢現象制成的紅外傳感器稱為熱電偶型紅外傳感器,因其時間常數較大,相應時間較長,動態特性較差,調制頻率應限制在10HZ以下。
3、萊氣動型傳感器
高萊氣動型傳感器是利用氣體吸收紅外輻射后,溫度升高,體積增大的特性,來反映紅外輻射的強弱。它有一個氣室,以一個小管道與一塊柔性薄片相連。薄片的背向管道一面是反射鏡。氣室的前面附有吸收模,它是低熱容量的薄膜。紅外輻射通過窗口入射到吸收模上,吸收模將吸收的熱能傳給氣體,使氣體溫度升高,氣壓增大,從而使柔鏡移動。在室的另一邊,一束可見光通過柵狀光欄聚焦在柔鏡上,經柔鏡反射回來的柵狀圖像又經過柵狀光欄投射到光電管上。當柔鏡因壓力變化而移動時,柵狀圖像與柵狀光欄發生相對位移,使落到光電管上的光量發生改變,光電管的輸出信號也發生變化,這個變化量就反映出入射紅外輻射的強弱。這種傳感器的特點是靈敏度高,性能穩定。但響應時間性長,結構復雜,強度較差,只適合于實驗室內使用。
4、熱釋電型傳感器
熱釋電型傳感器是一種具有極化現象的熱晶體或稱“鐵電體”。鐵電體的極化強度(單位面積上的電荷)與溫度有關。當紅外線輻射照射到已經極化的鐵電體薄片表面上時,引起薄片溫度升高,使其極化強度降低,表面電荷減少,這相當于釋放一部分電荷,所以叫做熱釋電型傳感器。如果將負載電阻與鐵電體薄片相連,則負載電阻上便產生一個電信號輸出。輸出信號的大小,取決于薄片溫度變化的快慢,從而反映入射的紅外輻射的強弱。由此可見,熱釋電型紅外傳感器的電壓響應率正比于入射輻射變化的速率。當恒定的紅外輻射照射在熱釋電傳感器上時,傳感器沒有電信號輸出。只有鐵電體溫度處于變化過程中,才有電信號輸出。所以,必須對紅外輻射進行調制(或稱斬光),使恒定的輻射變成交變輻射,不斷的引起傳感器的溫度變化,才能導致熱釋電產生,并輸出交變的信號。
光子傳感器
光子傳感器是利用某些半導體材料在入射光的照射下,產生光子效應,使材料電學性質發生變化。通過測量電學性質的變化,可以知道紅外輻射的強弱。利用光子效應所制成的紅外傳感器。統稱光子傳感器。光子傳感器的主要特點靈敏度高,響應速度快,具有較高的響應頻率。但其一般須在低溫下工作,探測波段較窄。
按照光子傳感器的工作原理,一般可分為內光電和外光電傳感器兩種,后者又分為光電導傳感器、光生伏特傳感器和光磁電傳感器等三種。
1、外光電傳感器
當光輻射在某些材料的表面上時,若入射光的光子能量足夠大時,就能使材料的電子逸出表面,這種現象叫外光電效應或光電子發射效應。光電二極管、光電倍增管等便屬于這種類型的電子傳感器。它的響應速度比較快,一般只需幾個毫微秒。但電子逸出需要較大的光子能量,只適宜于近紅外輻射或可見光范圍內使用。
2、光電導傳感器
當紅外輻射照射在某些半導體材料表面上時,半導體材料中有些電子和空穴可以從原來不導電的束縛狀態變為能導電的自由狀態,使半導體的導電率增加,這種現象叫光電導現象。利用光電導現象制成的傳感器稱為光導傳感器,如硫化鉛、硒化鉛、銻化銦、碲隔汞等材料都可制光電導傳感器。使用光電導傳感器時,需要制冷和加一定的偏壓,否則會使響應率降低,噪聲大,響應波段窄,以致使紅外線傳感器損壞。
3、光生伏特傳感器
當紅外輻射照射在某些半導體材料的PN結上時,在結內電場的作用下,自由電子移向N區,如果PN結開路,則在PN結兩端便產生一個附加電勢,稱為光生電動勢。利用這個效應制成的傳感器或PN結傳感器。常用的材料為砷化銦、銻化銦、碲化汞、碲錫鉛等幾種。
4、光磁電傳感器
當紅外輻射照射在某些半導體材料表面上時,半導體材料中有些電子和空穴將向內部擴散,在擴散中若受強磁場的作用,電子與空穴則各偏向一方,因而產生開路電壓,這種現象稱為光磁電效應。利用此效應制成的紅外傳感器,叫做光磁電傳感器。
光磁電傳感器不需致冷,響應波段可達7μM左右,時間常數小,響應速度快,不用加偏壓,內阻極低,噪聲小,有良好的穩定性和可靠性。但其靈敏度低,低噪聲前置放大器制作困難,因而影響了使用。
紅外傳感器結構及測量原理
紅外輻射測溫儀結構
它由光學系統、調制器、紅外傳感器、放大器和指示器等部分組成;
光學系統可以是透射式的、也可以是反射式的。透射式光學系統的部件是用紅外光學材料制成的。

紅外測溫儀方框圖:
高溫(700℃以上)測量儀器,有用波段主要在0.76-3μm的近紅外區,可選用一般光學玻璃或石英等材料。
中溫(100-700℃)測量儀器,有用波段主要在3-5μm的中紅外區,多采用氟化鎂、氧化鎂等熱壓光學材料。
測量低溫(100℃以下)儀器,有用波段主要在5-14μm的中遠紅外波段,多采用鍺、硅、熱壓硫化鋅等材料。
調制器就是把紅外輻射調制成交變輻射的裝置。一般是用微電機帶動一個齒輪盤或等距離孔盤,通過齒輪盤或帶孔盤旋轉,切割入射輻射而使投射到紅外傳感器上的輻射信號成交變的。因為系統對交變信號處理比較容易,并能取得較高的信噪比。
高萊氣動型傳感器結構
它有一個氣室,以一個小管道與一塊柔性薄片相連。薄片的背向管道一面是反射鏡。氣室的前面附有吸收膜,它是低熱容量的薄膜。
在室的另一邊,一束可見光通過柵狀光闌聚焦在柔鏡上,經柔鏡反射回來的柵狀圖像又經過柵狀光闌投射到光電管上。

高萊氣動型傳感器是利用氣體吸收紅外輻射后,溫度升高,體積增大的特性,來反映紅外輻射的強弱。
紅外輻射通過窗口入射到吸收膜上,吸收膜將吸收的熱能傳給氣體,使氣體溫度升高氣壓增大,從而使柔鏡移動。
在室的另一邊,一束可見光通過柵狀光闌聚焦在柔鏡上,經柔鏡反射回來的柵狀圖像又經過柵狀光闌投射到光電管上。
當柔鏡因壓力變化而移動時,柵狀圖像與柵狀光欄發生相對位移,使落到光電管上的光量發生改變,光電管的輸出信號也發生改變。這個變化量就反映出入射紅外輻射的強弱。這種傳感器的恃點是靈敏度高,性能穩定。但響應時間長,結構復雜、強度較差,只適合于實驗室內使用。
紅外傳感器的性能參數
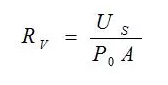
1、電壓響應

當(經過調制的)紅外輻射照射到傳感器的敏感面上時,傳感器的輸出電壓與輸入紅外輻射功率之比,叫做傳感器的電壓響應率,記作 RV。
式中:
US:紅外傳感器的輸出電壓
P0:投射到紅外敏感元件單位面積上的功率
A:紅外傳感器敏感元件的面積
2、響應波長范圍:

曲線1:熱電傳感器的電壓響應率曲(與波長無關)。
曲線2:光子傳感器的電壓響應率曲線。
(1)響應波長范圍(或稱光譜響應)是表示傳感器的電壓響應率與入射的紅外輻射波長之間的關系,一般用曲線表示(見上圖)。
(2)一般將響應率最大值所對應的波長稱為峰值波長。
(3)把響應率下降到響應值的一半所對應的波長稱為截止波長,它表示著紅外傳感器使用的波長范圍。
3、噪聲等效功率
如果投射到紅外傳感器敏感元件上的輻射功率所產生的輸出電壓,正好等于傳感器本身的噪聲電壓,則這個輻射功率就叫做“噪聲等效功率”。通常用符號“NEP”表示。

其中:Us為紅外探測器的輸出電壓;P0為投射到紅外敏感元件單位面積上的功率;A0為紅外敏感元面積;UN為紅外探測器的綜合噪聲電壓;RV為紅外探測器的電壓響應率。
4、探測率
探測率是噪聲等效功率的倒數,即:

紅外傳感器的探測率越高,表明傳感器所能探測到的最小輻射功率越小,傳感器就越靈敏。
5、比探測率
比探測率又叫歸一化探測率,或者叫探測靈敏度。實質上就是當傳感器的敏感元件面積為單位面積,放大器的帶寬△f為1Hz時,單位功率的輻射所獲得的信號電壓與噪聲電壓之比。通常用符號D*表示。
D* 的物理量綱:cmHz1/2W-1 (300 K)
6、時間常數
時間常數表示紅外傳感器的輸出信號隨紅外輻射變化的速率。
輸出信號滯后于紅外輻射的時間,稱為傳感器的時間常數,在數值上為:
τ=1/2πfc
式中fc為響應率下降到最大值的0.707(3dB)時的調制頻率。
熱傳感器的熱慣性和RC參數較大,其時間常數大于光子傳感器,一般為毫秒級或更長;而光子傳感器的時間常數一般為微秒級。
紅外傳感器的應用及前景
紅外傳感器的應用主要體現在以下幾個方面:
1、紅外輻射計:用于輻射和光譜輻射測量。
2、搜索和跟蹤系統:用于搜索和跟蹤紅外目標,確定其空間位置并對其運動進行跟蹤。
3、熱成像系統:能形成整個目標的紅外輻射分布圖像。
4、紅外測距系統:實現物體間距離的測量。(利用的是紅外線傳播時的不擴散原理,因為紅外線在穿越其它物質時折射率很小,所以長距離的測距儀都會考慮紅外線)
5、通訊系統:紅外線通信作為無線通信的一種方式。
6、混合系統:是指以上各類系統中的兩個活多個組合。

紅外傳感器應用可以用于非接觸式的溫度測量,氣體成分分析,無損探傷,熱像檢測,紅外遙感以及軍事目標的偵察、搜索、跟蹤和通信等。紅外傳感器的應用前景隨著現代科學技術的發展,將會更加廣闊。在將來的發展中,主要在紅外傳感器的性能和靈敏度將會二較大的提高。
發展趨勢主要有:
1、智能化:目前的紅外傳感器主要結合外圍設備來使用,而智能傳感器內置微處理器,能夠實現傳感器與控制單元的雙向通信,具有小型化、數字通信、維護簡單等優點,能夠單獨作為一個模塊獨立工作。
2、微型化:傳感器微型化一個必然趨勢。現在應用中,由于紅外傳感器的體積問題,導致其使用程度遠不如熱電隅來的好。所以紅外傳感器微型化便攜與否對其發展前途的影響是不可忽略的。
3、高靈敏度及高性能:在醫學上,人體體溫測試方面,紅外傳感器因測量的快速性而得到了相當的應用,但局限于其準確度不高而沒辦法取代現有的體溫測量方法。因此,紅外傳感器高靈敏度及高性是其未來發展的必然趨勢。

雖然現階段的紅外傳感器還有很多的不足,但紅外傳感器已經在現代化的生產實踐中發揮著它的巨大作用,隨著探測設備和其他部分的技術的提高,紅外傳感器能夠擁有更多的性能和更好的靈敏度,也將有更廣闊的應用范圍。
推薦閱讀: