【導讀】由于儀表放大器主要用于放大微小精密信號,因此,有必要了解所有相關噪聲源的效應。儀表放大器模型如下面圖1所示。

輸入電壓噪聲有兩個來源。第一個來源表示為與輸入端串聯的噪聲源VNI,就如常規運算放大器電路中一樣。該噪聲由儀表放大器增益G反映到輸出端。第二個噪聲源是輸出噪聲VNO,表示為與儀表放大器輸出端串聯的噪聲電壓。輸出噪聲(此處表示為VOUT)可以通過除以增益G,從而折合到輸入端。
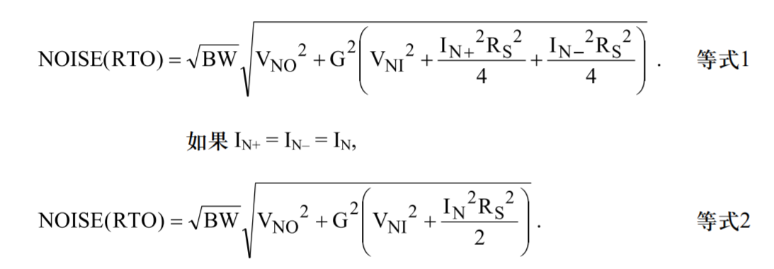
與輸入噪聲電流IN+和IN–關聯的噪聲源也有兩個。盡管IN+和IN–通常相等(IN+ ≈ IN– = IN),但它們卻不相關,因此,二者所產生的噪聲必須以和方根(RSS)的方式求和。IN+流過RS的一半,IN–流過另一半。結果會產生兩個噪聲電壓,其幅度各為INRS/2。這兩個噪聲源分別由儀表放大器增益G反映到輸出端。
總輸出噪聲是通過和方根形式對全部四個噪聲源求和的方式算出的。

要求總噪聲(折合到輸入端(RTI)),只需將上述表達式除以儀表放大器增益G即可。

儀表放大器數據手冊通常會把總電壓噪聲RTI表示為增益的函數。噪聲頻譜密度同時包括輸入(VNI)和輸出(VNO)噪聲貢獻。輸入電流噪聲頻譜密度分開規定。
就如在運算放大器中一樣,必須將總儀表放大器噪聲RTI在適用儀表放大器閉環帶寬內進行積分,從而算出一個和方根值。帶寬可以根據數據手冊典型確定,其中將頻率響應表示為增益的函數。
對于該帶寬,計算時務必小心,因為其通常不是恒定帶寬積關系(如VFB運算放大器即是如此)。對于AD620儀表放大器系列,增益帶寬模式更像一個CFB運算放大器。在這種情況下,預測給定增益下帶寬最安全的做法是使用數據手冊中提供的曲線。
參考文獻
1. Hank Zumbahlen, Basic Linear Design, Analog Devices, 2006, ISBN:0-915550-28-1.另見Linear Circuit Design Handbook, Elsevier-Newnes, 2008, ISBN-10:0750687037, ISBN-13:978-0750687034。Chapter 2.
2. Walter G. Jung, Op Amp Applications, Analog Devices, 2002, ISBN 0-916550-26-5, 另見Op Amp Applications Handbook, Elsevier/Newnes, 2005, ISBN 0-7506-7844-5.Chapter 2.
3. Charles Kitchin and Lew Counts, A Designer''''''''s Guide to Instrumentation Amplifiers, 3rd Edition, Analog Devices, 2006.
推薦閱讀: