【導讀】所有 PCB 走線都有一定的電感,但您知道 PCB 走線中的電感對電氣行為有何影響嗎?PCB 中的不同導體系統需要具有特定的走線寬度,這將決定走線的電感。但是,不存在特定的 PCB 走線電感經驗法則,只有與走線阻抗相關的計算公式可用于確定走線電感。此外,也沒有具體的規定要求我們在電路板設計中將特定走線電感作為設計目標。
本文要點
. PCB 走線具有電感和電容,這兩者共同決定了走線的阻抗。
. 有時,了解走線的電感有助于估算因串擾而引起的耦合度。
. 雖然沒有設定具體的走線電感值,但它是理解某些系統中的信號行為的有力工具。
所有 PCB 走線都有一定的電感,但您知道 PCB 走線中的電感對電氣行為有何影響嗎?PCB 中的不同導體系統需要具有特定的走線寬度,這將決定走線的電感。但是,不存在特定的 PCB 走線電感經驗法則,只有與走線阻抗相關的計算公式可用于確定走線電感。此外,也沒有具體的規定要求我們在電路板設計中將特定走線電感作為設計目標。
在了解了決定走線輸入阻抗的重要因素之后,就更容易判斷何時可以偏離阻抗目標,在電路板設計中選擇更高或更低的走線阻抗。
PCB 走線電感經驗法則
在傳輸線設計中,走線寬度的計算往往從疊層設計和傳輸線幾何結構的選擇開始。其他系統,如電源轉換器,可能不需要沿著走線控制阻抗,因此它們通常會使用更寬的銅走線來降低電感。在計算電感時,要先計算阻抗,然后利用阻抗計算走線電感。
阻抗計算公式
PCB 行業使用的最基礎阻抗模型是 IPC-2141 標準中的公式。下文所示的 IPC-2141 微帶線和帶狀線阻抗計算公式基于實驗觀察得出,在低于 1GHz 的頻率范圍內具有較高的準確性。

IPC-2141 微帶線和帶狀線走線阻抗計算公式
事實證明,上述公式不完全準確,其中包含了一些并非始終成立的假設。具體而言,上述公式存在以下缺陷:
. 忽略損耗角正切:所有 PCB 層壓板都會產生一定的衰減,這個值可以使用損耗角正切來量化。損耗角正切通常會增加一些電抗,使走線阻抗略微發生變化。
. 銅粗糙度:趨膚效應和銅粗糙度已被整合到上述公式中,如果不采用更復雜的方法,無法將它們單獨分離(如 IEEE 模型)。因此,上述公式并不適用于所有制造工藝和材料系統。
盡管上述公式并不完美,但它們為計算走線阻抗提供了一個不錯的起點,適用于 PCB 設計中的許多情況。
根據阻抗計算電感
在設計走線寬度以達到阻抗目標后,走線將具有特定的電感。設計過程一般不會逆向進行,除非涉及低速數字信號、低頻模擬信號或具有特定低電感要求的開關電源轉換器。如果走線長度足夠短,在設計時可以適當偏離典型的 50 歐姆阻抗目標,使用較低的走線電感。
綜上所述,不存在 PCB 走線電感經驗法則。換句話說,并不存在特定的走線電感要求,也沒有簡單的公式來計算所有 PCB 的走線電感。
要想深入探究,我們可以再次參考 IPC-2141 計算公式和無損傳輸線的本構阻抗關系。IPC-2141 方程包含單位長度電容計算公式,可用于計算 PCB 走線電感。

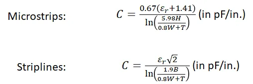
微帶線和帶狀線電容
在上述特定配置中,走線電容是相對于最近的接地平面定義的。最后,我們得到兩個分別用于計算微帶線和帶狀線走線電感的公式。

微帶線和帶狀線電感
由此我們可以看出,走線電感取決于:
. 走線厚度(或銅重量)
. 層厚度
. 走線幾何結構
要確保設計滿足阻抗目標并確定電感,必須同時考慮這些因素。在計算電感時,層厚度(H 或 B)和銅重量(T)通常是固定的,需要通過確定走線寬度來滿足阻抗和/或布線密度目標。在使用特定層壓板材料的疊層上設計走線時,若將相同的走線放置在采用不同介電材料的 PCB 疊層中,電感或阻抗將會有所變化。如有需要,可以比較各種層疊的電感與寬度曲線。
PCB 走線電感規則的局限性
因為上述方程是對數方程,所以僅在幾何參數的一定取值范圍內有效。只要上述對數中的參數小于 1,計算得出的電感便為負值。通過將對數中的參數重寫為比率(W/H)或(W/B),以及 (T/H)或(T/B),我們得出以下不等式,該不等式限制了上述公式中允許的走線幾何結構:

為了使 IPC-2141 電感為非負值,需要限制微帶線和帶狀線的幾何結構
舉例來說,我們可以在具有阻抗控制的簡單 PCB 疊層中觀察微帶線電感。在一塊使用 0.5 盎司/平方英尺銅走線的四層電路板上(電介質厚度 8mil,Dk=4.2),獲得 50Ohm 阻抗所需的走線寬度為 15.15mil,電感為 6.679nH/英寸。其他模型得出的結果大相徑庭,這足以說明 IPC-2141 存在缺陷。
除了使用過時的 IPC-2141 公式之外,還有更好的方法來確定走線的阻抗和電感。更有效的 PCB 層疊和走線計算器包括矩量法場求解器或邊界元法場求解器。這些工具可用于快速計算給定層疊和阻抗目標的電路板上的 PCB 走線電感,隨后使用該電感值確定粗略的串擾結果。一些非常敏感的精密測量設計或電源轉換器需要極低的電感布線,這些計算可以作為參考進行驗證。
在評估高級電子設計時,Cadence 的 PCB 設計和分析軟件可用于驗證任何 PCB 走線電感經驗法則。設計人員可以使用強大的場求解器和電路建模工具來模擬電氣行為,計算許多重要的信號完整性指標。在使用 Cadence 的軟件套件時,我們還可以訪問一系列可用于信號完整性分析的仿真功能,從而全面地評估系統功能。
免責聲明:本文為轉載文章,轉載此文目的在于傳遞更多信息,版權歸原作者所有。本文所用視頻、圖片、文字如涉及作品版權問題,請聯系小編進行處理。
推薦閱讀:
【“源”察秋毫系列】DC-DC電源效率測試,確保高效能與可靠性的關鍵步驟
Quobly與意法半導體攜手, 加快量子處理器制造進程,實現大型量子計算解決方案