【導讀】這樣的一個應用:-12V的輸入,+5V的非隔離輸出, 也就是負電壓輸入、正電壓輸出,應該采用什么結構的變換器?
這樣的一個應用:-12V的輸入,+5V的非隔離輸出, 也就是負電壓輸入、正電壓輸出,應該采用什么結構的變換器?
反激變換器可以實現上述的電壓變換,但要用到變壓器,如果不用變壓器,那么是否有其它的更簡單的方法?
電源控制IC內部所有的電路都是以IC的地管腳為基準,如果將輸入電壓的負端,連接到IC控制器的地管腳,那么對于變換器而言,輸入電壓相當于正電壓,如圖1所示。

圖1:負輸入端連接到IC地
輸入電壓為-12V,變換器的輸入電壓相當于+12V;輸出+5V相當于+17V,因此,這個應用相當于將+12V電壓升到+17V,可以使用BOOST變換器,VCC相對于IC的地管腳(-12V)也是正電壓,可以正常供電,如圖2所示。

圖2:BOOST變換器
輸出若采用二個電容串聯,中間點連接到輸入地,相對于輸入地,就可以取出+5V電壓。由電路的連接關系,串聯端下邊電容和輸入電容并聯,可以省去。

圖3:+5V輸出電壓
若IC的FB管腳內部參考電壓為2.5V,反饋調節要求R2的電壓(FB管腳對IC的地管腳的電壓)保證恒定的2.5V,同時流過R1、R2的電流相同(忽略流入FB管腳的電流),從而保證系統的調節維持輸出電壓的恒定。
IC的地管腳電壓為-12V,VR2=2.5V,則FB管腳的電壓為-9.5V;輸出電壓為+5V,輸出對IC的地管腳電壓為+17V,VR1=14.5V。
輸入電壓有一定的波動范圍,如果輸入電壓變為-15V,VR2=2.5V恒定,VR1仍然為14.5V,FB管腳的電壓為-12.5V,輸出端對IC的地管腳的電壓仍然為+17V,輸出端對系統輸入地的電壓為:17-15V=+2V,而不是+5V。因此,輸入的負電壓發生變化時,輸出電壓也會發生改變,直接用這樣的反饋不滿足要求。

圖4:反饋控制
為了實現當輸入負電壓發生變化時,IC的反饋調節維持輸出電壓的穩定,必須要將R1、R2隔離,同時還要滿足前面的二個條件。

圖5:R1/R2隔離
三極管的集電極電流和發射極電流大約相等,相互隔離,同時受基極電流控制,可以實現上述功能。
由圖中R1/R2的電流方向,如果NPN管,R1接集電極,R2接發射極,基極能連接的點有輸入地、輸入負電壓端和輸出端。
基極連接到輸入負電壓端,NPN管無法工作;基極連接到輸出端,輸出端和FB管腳的壓降保持恒定的0.6V,不滿足調節要求;基極連接到輸入地,FB管腳將被箝位在-0.6V,也不滿足調節。

圖6:NPN管隔離R1/R2隔離
改用PNP管,如圖7所示,R1接發射極,R2接集電極,用上面分析方法,基極連接到輸出端或輸入負電壓端,都不滿足要求。基極連接到輸入地,可以滿足系統調節的要求。

圖7:PNP管隔離R1/R2隔離
電阻R2的電流為:
iR2=VFB/R2
iR2==iR1
iR1=(Vo-0.6V )/R1
其中,三極管VBE=0.6V,VFB=2.5V。選取合適R2,由上式,就可以計算R1的值。為了系統穩定,可以在輸出端到輸入地之加一個阻值較大的電阻作為假負載。
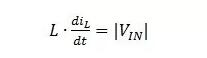
MOSFET導通:

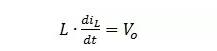
MOSFET關斷:

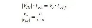
由電感的伏秒值平衡:

當輸入負電壓或輸出負載的變化導致輸出電壓發生改變時,例如,若輸出降低,R2、R1的電流降低,VFB電壓降低,內部COMP腳電壓上升,占空比增加,從而提高輸出電壓。
同樣的類似的應用,如-48V的輸入,+5V的非隔離輸出,也可以用本文的方法實現。






