【導讀】射頻功率收集電路采用多種電路技術,旨在以最小電壓和電流工作。射頻波來自衛星站、無線互聯網、無線電臺和數字多媒體廣播。射頻功率收集系統能夠捕獲這種電磁能,并將其轉換為可用的直流(DC)電壓。盡管射頻波的環境功率密度較低,但通過專門添加源以實現更好的功率傳輸,就可以顯著提高其效率。此外,還可以實施定制設計的升壓射頻功率收集電路,以滿足負載應用的特定需求。
本文重點:
射頻功率收集,對于源和負載之間的最佳功率傳輸、減少功率反射和提高系統效率而言,IMN 至關重要。
能量收集整流器和電壓倍增器電路(例如 Cockcroft–Walton 和 Dickson 倍增器)是將射頻信號轉換并放大為可用直流電的關鍵,每種設計都會滿足一些特定的電壓要求和效率需求。
射頻功率收集系統可以利用靜態(例如廣播電臺、移動基站)和動態(例如 Wi-Fi 接入點、警用無線電)環境射頻源,需要采用復雜的方法才能在物聯網應用中持續高效地供應能量。
射頻功率收集電路采用多種電路技術,旨在以最小電壓和電流工作。射頻波來自衛星站、無線互聯網、無線電臺和數字多媒體廣播。射頻功率收集系統能夠捕獲這種電磁能,并將其轉換為可用的直流(DC)電壓。盡管射頻波的環境功率密度較低,但通過專門添加源以實現更好的功率傳輸,就可以顯著提高其效率。此外,還可以實施定制設計的升壓射頻功率收集電路,以滿足負載應用的特定需求。

射頻功率收集電路器件
射頻功率收集電路階段細分
射頻功率收集電路器件
阻抗匹配電路
在低功耗電氣系統中,傳輸過程中的功率泄漏會導致能量損失。要解決這個問題,集成阻抗匹配網絡(Impedance Matching Network, IMN)電路至關重要,因為它可以確保射頻源和負載之間的最佳功率傳輸。在 WPH(Wireless Power Harvesting)應用中,我們將接收天線視為源,將整流器或電壓倍增器視為負載。在直流電路中,當源和負載的電阻相等時,功率傳輸效率最高。然而,在射頻電路中,阻抗取代了電阻。源和負載之間的阻抗失配會導致電路內的功率反射,進而降低整體的系統效率。
IMN 的作用是通過引入無功器件來調整源和負載的阻抗,從而提高功率傳輸過程的效率。IMN 電路的示例包括: L 網絡 反向 L 網絡 T 網絡 Pi 網絡 多頻段匹配網絡 能量收集整流器 整流器器件可以影響能量收集 (EH) 電路的效率。在進行功率收集時,天線捕獲的射頻信號通常具有正弦波形。經過 IMN 處理后,該信號被整流,然后升壓以滿足特定應用的功率要求。它們通常涉及多種配置,包括單二極管整流器、電壓倍增器和下文將要討論的更復雜的結構,每種配置都旨在優化交流到直流的轉換。 電壓倍增器電路 電壓倍增器是一種專門的整流器電路,用于轉換交流輸入并將其放大為直流輸出。當整流后的功率不能滿足預期應用的要求時,就需要增強直流輸出。通過串聯整流器,從而形成電壓倍增器。
此類電路最基本的配置是 Cockcroft–Walton 電壓倍增器。該電路的工作原理與全波整流器類似,但包括額外的級,以實現更高的電壓增益。
此類電路的另一種變體是 Dickson 倍增器:它在 Cockcroft–Walton 設計的基礎上進行了修改,具有分流級電容器,可減輕寄生效應。因此,Dickson 倍增器更適合需要小電壓的應用。不過,使用此設置可能很難實現高功率轉換效率 (PCE)。此電路中,二極管兩端的高閾值電壓可能導致產生漏電電流,因而降低整體效率。此外,在具有高電阻負載的情況下,輸出電壓可能會大幅下降,從而導致負載的電流供應減少。
Dickson 電荷泵通常采用一系列二極管耦合級來高效傳輸電荷并提高電壓。它可以提供相對穩定的輸出,非常適合僅需適度增加電壓的應用。
差分驅動電壓倍增器能夠實現高電壓倍增,效率較高但較為復雜。

天線設計說明
在天線或整流天線設計中,關鍵性能參數包括增益、諧振頻率和帶寬。假設空間暢通無阻且具有各向同性發射源,那么波的擴散在所有方向上都是均勻的。然而我們必須認識到,天線并不總是以球形(各向同性)模式分配功率。根據設計的不同,天線可以更具體地將能量引導到特定方向。
射頻功率基礎知識
空間中的功率損耗通常用自由空間路徑損耗(FSPL)來表示,它指的是信號在開放空間中傳播時的功率降低。要計算 FSPL,需要了解天線增益、發射波的頻率以及發射器和接收器之間的距離等數據。電磁波的屬性取決于與發射天線的距離。這種行為變化分為兩個不同的類別:遠場和近場。
近場和遠場 在遠場中,電磁波的模式往往相對均勻。然而在近場中,電和磁分量明顯更強且更獨立,以至于一個分量可能主導另一個分量。近場區域定義為 Fraunhofer 距離以內的空間,而遠場區域是超出 Fraunhofer 距離之外的空間。

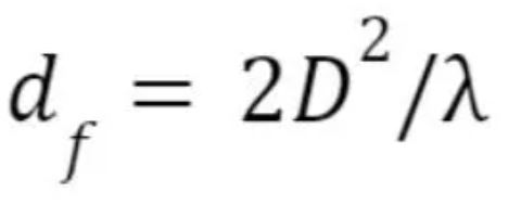
Fraunhofer 距離是定義近場和遠場區域邊界的關鍵參數。它是根據輻射器的最大尺寸(D)和電磁波的波長(λ)計算而來的。
雖然 Fraunhofer 距離確定了一個邊界,但近場和遠場區域之間的實際過渡并沒有明確的界限。 在近場中,從天線延伸出一定距離內的區域稱為非輻射/反應近場區。在這里,電場(E)和磁場(H)不同相,導致能量失真。 當我們從這個近場區域向距離天線更遠的遠場移動時,就進入了輻射近場或 Fresnel 區域。在這個區域,電磁波反應性質的主導地位減弱,但 E 和 H 場的相位仍然隨距離而變化。
圖中描繪了近場和遠場區域的空間分布。
射頻能量自由空間功率 從自由空間收集的射頻能量通常具有較低的功率密度,因為電場功率密度會以成比例的速率減小到 1/d2,其中 d 表示與射頻源的距離。因此,需要使用一個功率放大器電路,以便從電磁波中產生足夠的直流能量來為負載和應用供電。這種情況可能會導致兩種結果: 如果負載的功耗小于收集的平均功率,則負載處的電子設備可以持續運行。 如果負載消耗的能量超過功率收集電路產生的能量,設備就無法持續運行。
從環境射頻源收集射頻能量
盡管靜態源是穩定功率發射器,但需要通過更復雜的方法來為傳感器設備供電。這通常涉及到調制信號,例如改變頻率和傳輸功率。靜態源的例子包括廣播電臺、移動基站和電視等環境實體,在功率收集場景中,通常會利用這些源。
另一方面,動態源是以不受控制的方式發射信號的發射器,無法用物聯網(IoT)系統專門監控。要有效地利用來自這些源的能量,必須使用智能無線能量收集 (WEH)系統。該系統必須不斷掃描通道,以識別潛在的收集機會。這類不受監控的環境源的示例包括 Wi-Fi 接入點、微波無線電鏈路和警用無線電。這些動態源為各種物聯網應用中的能量收集帶來了一系列獨特的挑戰和機遇。 利用 Cadence AWR 軟件可徹底改變射頻功率收集電路。借助高級仿真工具,可提高設計的效率和性能。AWR Design Environment V22.1 版本可提供設計自動化、增強型射頻仿真和器件建模,支持集體設計、加速優化,具有強大的設計同步分析和可制造性設計工作流程,從而加速射頻/微波元件和系統的開發,涵蓋單片微波集成電路(MMIC)、射頻集成電路、封裝、模塊和 PCB 技術。 文章來源:Cadence楷登PCB及封裝資源中心
免責聲明:本文為轉載文章,轉載此文目的在于傳遞更多信息,版權歸原作者所有。本文所用視頻、圖片、文字如涉及作品版權問題,請聯系小編進行處理。
推薦閱讀:





