【導讀】在新能源汽車電機控制器中,因獨石電容(MLCC)壽命估算偏差導致的批次召回事件屢見不鮮——某車企因未考慮電壓波動影響,實測電容壽命僅為理論值的30%,最終付出1.2億元代價。MLCC的壽命不僅關乎電子系統的可靠性,更直接影響企業的質量成本。本文通過拆解溫度、電壓、濕度三大力學模型,結合車規、工業、5G等典型場景,提供一套可落地的壽命計算與優化方法論。
在新能源汽車電機控制器中,因獨石電容(MLCC)壽命估算偏差導致的批次召回事件屢見不鮮——某車企因未考慮電壓波動影響,實測電容壽命僅為理論值的30%,最終付出1.2億元代價。MLCC的壽命不僅關乎電子系統的可靠性,更直接影響企業的質量成本。本文通過拆解溫度、電壓、濕度三大力學模型,結合車規、工業、5G等典型場景,提供一套可落地的壽命計算與優化方法論。
一、獨石電容的失效機制與壽命定義
MLCC的壽命終點通常定義為容值衰減超過20%或絕緣電阻下降至初始值的10% ,其核心失效誘因包括:
1. 介質老化:鈦酸鋇(BaTiO?)晶格在高溫高電場下發生離子位移,介電常數(εr)下降。
2. 電極劣化:鎳/銅電極在濕度滲透下氧化,等效串聯電阻(ESR)上升。
3. 機械應力:溫度循環導致陶瓷-電極界面開裂,容值驟降。
行業標準參考:
●AEC-Q200:車規MLCC需通過1000次-55℃~150℃溫度循環測試,容值漂移≤15%。
●JEDEC JESD22-A108:高溫工作壽命測試(85℃/額定電壓,1000小時)容變≤10%。
二、壽命計算的核心模型與公式推導
1. 溫度驅動的Arrhenius模型
Arrhenius方程量化了溫度對化學反應速率的加速作用,適用于MLCC介質老化壽命預測:
:標準測試條件下的壽命(如125℃/2000小時)。
Ea :激活能(X7R介質1.0~1.2 eV,C0G介質1.5 eV)。
、Ttest :實際工作溫度與測試溫度(單位:開爾文)。
計算案例:
某X7R電容標稱壽命2000小時(125℃),在85℃環境工作時:
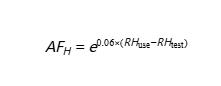
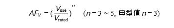
2. 電壓加速因子(Voltage Acceleration Factor)
當工作電壓超過額定值的50%時,電壓應力顯著縮短壽命:
修正壽命:
示例:
某50V電容實際工作電壓40V(80%額定值),則:
3. 濕度影響的Peck模型
高濕度環境引入離子遷移風險,加速因子公式為:
聯合模型:
案例:
若上述電容在濕度60%環境下工作(測試濕度50%):
三、典型場景下的壽命預測與優化
場景1:新能源汽車電機控制器(高應力環境)
● 條件:溫度105℃、電壓波動±20%、濕度60%RH。
● 輸入參數:
● 標稱壽命:125℃/2000小時(X7R介質,Ea=1.1eV)。
● AFV=(1.2)3=1.728,AFH=1.82。
● 計算結果:
● 優化策略:
● 選用150℃高溫型號(如TDK C5750X7R2A105M),壽命提升至2.3年。
● 增加電壓緩沖電路,限制波動范圍至±10%。
場景2:5G基站射頻電源模塊(低應力環境)
● 條件:溫度70℃、電壓穩定(30%額定值)、濕度30%RH。
● 輸入參數:
● 標稱壽命:125℃/5000小時(C0G介質,Ea=1.5eV)。
● AFV≈0AFV≈0,AFAFH=e0.06×(30?50)≈0.30。
●計算結果:
●結論:C0G電容在低應力場景下壽命遠超設備服役周期(10~15年)。
四、國內外廠商壽命指標對比與選型建議
選型要則:
●車規級:優先選擇TDK、Murata,標稱壽命≥2000小時,降額至50%使用。
●成本敏感型:風華高科X7R系列可滿足一般工業需求,需加強濕度防護。
五、壽命驗證實驗與失效分析
1. 高溫加速老化測試:
●條件:125℃、1.5倍額定電壓,持續1000小時。
●合格標準:容值變化≤10%,IR≥1000 MΩ。
2. 溫濕度偏壓(THB)測試:
●條件:85℃/85% RH,額定電壓,1000小時。
●驗收指標:無短路,容漂≤15%。
結語:構建可靠性優先的設計思維
獨石電容的壽命預測絕非簡單的公式套用,而是需要融合物理模型、場景參數與實驗驗證的系統工程。工程師應:
●在設計中明確溫度、電壓、濕度三大約束邊界;
●通過降額設計(電壓≤50%、溫度≤80%額定值)降低失效風險;
●對國產替代方案實施加速老化測試與批次抽檢。
隨著AI仿真技術的發展,未來可通過數字孿生模型實時預測MLCC壽命,為智能運維提供數據支撐。唯有將理論計算與工程實踐深度結合,方能實現電子系統全生命周期的可靠性與經濟性雙贏。
推薦閱讀:
基于龍芯1D的智能水表,無機械結構+NB-IoT遠程監測技術解析





