【導讀】延時電路中最簡單的就屬RC電路了。電子工程師剛剛接觸延時電路,首先入門的就是RC電路。本文就由網友分享RC電路的設計,并簡析RC延時電路。希望新手或者剛入門的工程師能學以致用。
圖一是最簡單的RC延時電路,目的是延時點亮LED。R1給C1充電,等電容電壓到達三極管基極導通電壓大概0.7V時,三極管開通,LED點亮,二極管D1是讓C1可以快速放電的作用。
延時時間

電路雖然結構簡單,但是要實現較大的延時就要選用大容量的電容,而且充電電阻R1不能太大,否則三極管不能處于開關狀態。

圖一

圖二
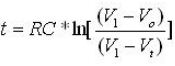
再看圖二,主要是多加了一個2.7V的穩壓二極管D2,這時候情況就有所改觀。可以看到,令三極管開通的電容電壓提高了2.7V,也就是說Vt=0.7+2.7=3.4V。代入公式算得延時t=5.7S。本人在Multisim11.0中仿真結果不相上下。圖二中R3電阻是為了把穩壓二極管的反向漏電流導走,防止充電過程中三極管微導通。

圖三
