- LED及其照明應用
- LED陣列照度計算及其分布研究
- LED陣列仿真及比較分析
- LED陣列照度的計算
- LED陣列中LED間距的分析
- 矩形平面的仿真結果及分析
- 內半圓柱表面的仿真結果及分析
LED是一種壽命長、功耗低、無輻射的節能環保型光源,大多數專家預測21世紀將是以固體發光材料為核心的,即以LED為代表的新型光源、綠色照明的世紀,因此LED光源具有光明的前景。近年來,LED燈具產品開發的種類越來越多,設計合適的LED燈具顯得尤為重要。由于單顆LED的功率很小,作為照明來使用,要求在照明區域內具有一定的均勻光通量和照度,所以需要采用LED的陣列形式,加大其發光亮度和發光面積,改善光照的均勻性。本文對LED陣列進行仿真,并根據仿真結果進行分析,得出各種陣列的特點,分析適合此陣列的燈具,為LED燈具設計提供精確的參考依據。
1.LED及其照明應用
LED(LightingEmittingDiode)即發光二極管,它是利用固體半導體芯片作為發光材料,在半導體中通過載流子發生復合放出過剩的能量而引起光子發射,直接發出紅、黃、藍、綠、青、橙、紫、白色的光。因其是壽命長、功耗低、無輻射的節能環保型光源,所以近年來,LED光源特別是白光LED引起人們的極大關注。
LED在照明領域的應用主要包括夜景照明、汽車照明、交通燈、專用普通照明、特種照明和安全照明。隨著LED發光效率的不斷提高,LED照明會慢慢代替白熾燈照明,走入千家萬戶。
2.LED陣列照度計算及其分布研究
2.1LED陣列照度的計算
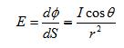
照度(Luminosity)指物體被照亮的程度,采用單位面積所接受的光通量來表示,表示單位為勒[克斯](Lux),即lm/m2。1勒[克斯]等于1流[明](lm)的光通量均勻分布于1m2面積上的光照度。LED陣列的照度是多個單個LED照度的線性疊加。因此只分析單個LED照度。通常LED所照射的目標距離比LED本身大的多,在這種情況下將LED發光管簡化為一個有一定空間光強分布的點光源。點光源的特點是能以4立體角向周圍空間發出相同發光強度的光輻射。假設面元dS接受LED點光源S的光照,設點光源S至面元dS的距離為r,并且點光源發出的元光束的光軸與面元的法線N之間的夾角為,則面元上的照度為:

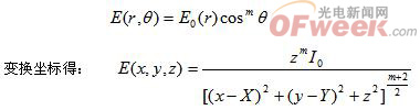
LED的光強分布不是一個理想的余弦分布,該分布可以表示為:
當LED照射到與其光軸方向垂直的平面時,在該平面上的光照度分布為:

以上公式為下面LED陣列照度仿真的依據公式。
2.2 LED陣列研究
2.2.1 LED陣列中LED間距的分析
由于LED是一種非相干光源,因此兩個LED對平面上某一區域的光照度為其單個的疊加(多個LED同理疊加),則有(式中d為兩個LED之間的距離)

d增加到0.0218時,原點附近的區域的光照度不至下降很多,此距離比較合適。通過仿真可以驗證計算結果,如圖1所示,當d=0.0218m時,原點附近照度較均勻。 [page]

2.2.2 LED陣列分布研究
LED陣列分布主要研究的是LED陣列分布方式,根據陣列分布方式不同,可以分為面排列方式和立體排列方式。
面排列方式又分為平面排列與曲面排列。平面排列配光就是將多顆LED以均勻布置,軸線方向的夾角為零,安裝在平面的基板上,形成具有一定面積的面發光光源。其特點是:光照面積小、光輸出集中、發光均勻、光照度高。根據使用的功能要求,具體所形成的發光面形狀包含矩形、圓形、橢圓等;曲面排列主要包括柱面排列、球面排列、不規則排列等。
立體排列方式主要包括球體和柱體。
本文鑒于篇幅,只分析平面排列中的矩形與曲面排列中的內半圓柱面排列,立體排列其實是曲面排列的特例(不只分析底面光照,而是各個面的光照),不再作具體分析。
3. LED陣列仿真及比較分析
LED陣列用Matlab軟件進行仿真。
3.1矩形平面的仿真結果及分析
圖2為7×17矩形陣列仿真結果。本次仿真取陣列距離照射面為6米(根據具體燈具應變換仿真距離)。

從圖2的仿真結果,我們可以看出,7×17矩形陣列的中心最大照度約為40Lux,在過最大照度的一半即20Lux的區域為距中心約0.75m的范圍內。通過以上數據可知,矩形陣列的照射范圍比較集中,此類陣列分布的燈具適用于照射面較小且比較集中的照射領域。
3.2內半圓柱表面的仿真結果及分析

圖3為7×17內半圓柱陣列仿真結果。同上,本次仿真取陣列距離照射面為6米。
從圖3的仿真結果,我們可以看出,7×17內半圓柱陣列的中心最大照度約為3.3Lux,在過最大照度的一半即1.65Lux的區域x軸為距中心約7m的范圍內,y軸為距中心0.8m的范圍內。通過以上數據可知,內半圓柱陣列的照射范圍分布成長條狀,此類陣列分布的燈具適用于一方向上照射區域較大且與其垂直方向上照射區域較小的照射領域。
3.3陣列分布在平面與曲面上的比較
對于以上分析的兩種陣列,所用LED及數目均相同,但是根據仿真結果我們可以看出,在照度大小、照射區域等方面存在很大的區別。代表平面的矩形分布的陣列中心照度比較大,達到了40Lux,但是其照射區域比較小,20Lux內僅有約0.75m的范圍內,而代表曲面的內半圓柱表面分布的陣列中心照度比較小,僅為3.3Lux,但照射區域比較大,最大照度值一半的區域在一方向上達到了7m。
比較仿真結果可以得出,平面分布陣列的光照面積小、光輸出集中、發光均勻、光照度高,可以應用于模塊照明、照相制版、化妝鏡燈、聚光(投光)燈等;曲面分布陣列照射面積較大,具有發散的照明效果,可獲得特殊的裝飾照明效果,適用于廣場燈、路燈等。
總之,針對LED照明燈具中LED陣列的照度計算和分布問題,文章著重就LED陣列在具體設計、分布上作了仿真及較為詳細的分析,對于設計出更完美的LED燈具具有一定的參考價值。可以相信,隨著LED技術的不斷發展以及LED照明燈具設計制造的不斷完善,更新更好的技術方案及產品將會層出不窮。



