【導讀】觸摸屏顯示器能夠檢測顯示區域上是否有人觸摸以及觸摸位置,因此各種設備上的機械按鈕正日漸被這種顯示器所取代,包括智能電話、MP3 播放器、GPS 導航系統、數碼相機、筆記本電腦、游戲機和實驗室儀器等。第一代此類設備不太精確,存在誤檢率高和功耗過大的問題。新型觸摸屏控制器1, 如AD78792等,可提供更高的精度、更低的功耗和結果濾波功能。這些器件還可以檢測溫度、電源電壓和觸摸壓力,有助于現代觸摸屏顯示器實現魯棒的檢測。
觸摸屏的工作原理
首先,讓我們看看電阻式觸摸屏如何工作。圖1顯示了觸摸屏的基本結構和工作原理圖。

圖 1. 電阻式觸摸屏的結構
觸摸屏由兩層塑料薄膜組成,各薄膜層上均涂有一層導電金屬(通常是氧化銦錫),中間的空氣間隙將二者分開。電源電壓激勵其中的一塊板,上圖中為 X 板。觸摸屏幕時,兩塊導電板碰到一起,在 X 板上構成一個電阻分壓器。接觸點的電壓通過 Y+ 電極檢測,代表X板上的位置,如圖 2 所示。然后重復上述過程,電源電壓激勵Y板,并通過 X+ 電極檢測 Y 位置。


圖2. X 位置測量
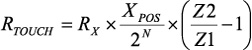
接下來,將電源電壓置于 Y+ 和 X– 上,再進行兩次屏幕測量:測量X+上的電壓得出Z1,測量Y– 上的電壓得出Z2。這些測量結果可以用來估計觸摸壓力,其方法有兩種。如果 X 板的電阻已知,則觸摸電阻的計算公式為:

如果 X 板和Y 板的電阻均已知,則觸摸電阻的計算公式為:

觸摸電阻值越大,則表示觸摸壓力越小。
AD7879 觸摸屏控制器
AD7879 觸摸屏控制器設計用于與四線式電阻觸摸屏接口。除了檢測觸摸動作外,它還能測量溫度和輔助輸入端的電壓。所有四種觸摸測量加上溫度、電池、輔助電壓測量,均可以通過編程寫入其片內序列器。寬電源電壓范圍(1.6 V 至3.6 V)、小尺寸(12 引腳、1.6 mm ×2 mm WLCSP封裝或16 引腳、4 mm ×4 mm LFCSP封裝)以及低功耗(轉換時480 μA,關斷模式 0.5 μA),使這款控制器可以靈活地用于各種產品。
觸摸喚醒
可以將AD7879 配置為在發生觸摸屏幕事件時啟動并轉換,在釋放之后進入省電模式。這種配置非常適合注重節約電量的電池供電設備。每個轉換序列完成之后,AD7879 向主機微控制器發送一個中斷,將其從低功耗模式喚醒,以便處理數據。這樣,屏幕被觸摸之前微控制器的功耗也會極低。圖3 顯示了觸摸喚醒功能的設置。

圖3. 觸摸喚醒設置
觸摸屏幕時,X 板與 Y 板接觸,拉低限變器輸入,從而喚醒AD7879,隨后開始轉換。轉換結束時,AD7879 向主機發送一個中斷。
結果濾波
在典型的顯示器中,電阻板位于液晶顯示器(LCD) 之上,LCD 會產生大量噪聲,影響位置測量。這種噪聲由脈沖噪聲和高斯噪聲組合而成。AD7879 提供的中值濾波器和均值濾波器可降低這種噪聲。可以將序列器配置為利用 2 個、4 個、8 個或16 個樣本進行位置測量,而不是利用單個樣本進行測量。這些樣本經過排序、中值濾波和均值濾波,便可得到噪聲更低、精度更高的結果。圖 4 清楚顯示了其原理。獲得16 個位置測量結果,然后按由低到高的順序排序。剔除四個最大測量結果和四個最小測量結果,以消除脈沖噪聲;對剩余的八個采樣值求平均值,以降低高斯噪聲。這種方法還有一個額外好處,即可以降低所需的主機處理工作量和主機與觸摸屏控制器的通信量。

圖4. 中值和均值濾波
推薦閱讀:




