中心論題:
- 介紹數字化開關電容濾波技術
- 設計開關電容帶阻濾波器
解決方案:
- 采用抗混疊濾波技術消除高頻混疊和噪聲干擾
- 采用一階低通濾波器實現抗混疊濾波
隨著現代計算機技術的飛躍發展,離散信號處理已成為信號處理的重要內容。數字信號處理必將在計算機技術的推動下成為信號處理的潮流和趨勢。而在模擬電路中,數字化開關電容技術在混合信號處理和模擬數字接口方面有著十分重要的作用[1]。它就像一個離散時間信號處理器那樣運作(其中并沒有使用專門的A/D或D/A轉換器)。采用數字化開關電容技術設計的帶阻濾波器,使模擬信號經過濾波后直接輸出數字信號,成為數字信號處理的橋梁。而且開關電容帶阻濾波器可以通過改變開關時鐘頻率來自由調整中心頻率,使得濾波中心頻率達到高精度、高穩定度成為現實。它還克服了傳統RC有源濾波器由于元器件不匹配及受環境溫度影響而使中心頻率存在較大偏移的缺陷[2]。基于此,本文利用數字化開關電容技術來設計帶阻濾波器,以濾除某撓性陀螺運轉時產生的200Hz噪聲信號及其諧波分量。
開關電容技術原理
開關電容電路的基本原理是在電路兩節點之間接有帶高速開關的電容器,效果相當于一個電阻。其結構圖和等效電阻電路如圖1所示。開關控制信號φ1和φ2為兩相非重疊的時鐘(圖1(a)給出了頻率為fCLK的兩相非重疊時鐘信號波形)。
以上兩種電路存在如下關系[4]:


這里直接給出開關電容離散時間積分器的結構圖(圖2) 及其離散時間傳遞函數[4]:


開關電容帶阻濾波電路設計
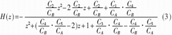
給定雙二階連續時間帶阻濾波器的電路圖如圖3,用開關電容來替代電阻后得到開關電容帶阻濾波電路(圖4),利用式(2)推導出圖4電路的離散時間傳遞函數為:
|

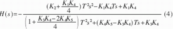
其中i=1,2,3,4,5。通過雙線性變換把式(3)轉化為連續時間傳遞函數模型:

為使濾波前后的高頻和低頻信號幅值保持不變,根據式(4)可知,需要保證以下條件成立:

令濾波器的中心角頻率為ωn,品質因數為Q,于是有:

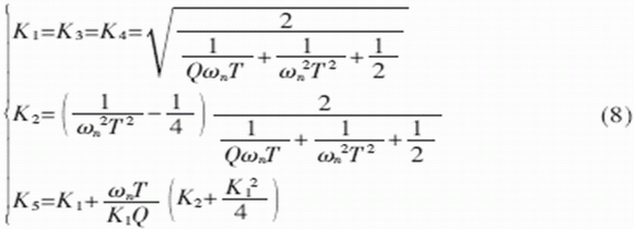
由于式(5)和式(7)的未知數比方程數多一個,在此優先考慮設K1=K4。這樣,在K1=K3=K4的條件下,可以解出:

考慮到ωn=2πfn和T=1/fCLK,即ωnT=2?仔fn/fCLK。當ωnT<<1時,式(8)可以近似成如下形式:

由推導分析可以得出以下結論: (1)因Ki為兩個電容的比值,故一旦硬件電路確定后,Ki也就完全確定了;(2)fn與fCLK成正比關系。(3)K2≡1;(4)K5決定著濾波電路的品質因數Q。
根據以上結論,只要改變fCLK就可以自由調整fn使其準確達到期望值而無須改變硬件電路。
開關電容濾波器與RC有源濾波器比較如表1所示。傳統濾波器的中心頻率與電阻和電容有關,兩者的微小變化都會引起中心頻率出現較大偏移。開關電容濾波器可以自由調整中心頻率,且當電容值隨溫度發生漂移時,兩個電容值同向改變,維持了電容比值的穩定,使得中心頻率具有很高的溫度穩定性。

實驗設計及結果分析
在此以fn=200Hz來設計帶阻濾波器以濾除撓性陀螺輸出信號中的干擾噪聲。根據圖4電路,采用高精度的分離元件來搭建濾波電路。取K1=K3=K4=0.022,K5=0.33(Q=3),由式(9)可知,需要提供的開關時鐘頻率為fCLK=57.12kHz。當要濾除干擾噪聲的諧波分量時,無須改變任何外接電路,而只要將開關時鐘頻率成倍提高即可。
實驗觀察得知,經過開關電容濾波后的信號存在較多的“毛刺”和“陰影”。分析發現,這主要是高頻混疊所致。本文作者通過大量的實驗探索提出了在開關電容帶阻濾波電路的輸出端接入抗混疊濾波器的精簡解決方法,采用一階低通濾波器實現抗混疊濾波。同時,接入的抗混疊濾波器還起到消除開關噪聲、時鐘噪聲等高頻干擾和平滑濾波的目的。濾波器輸入波形及輸出波形如圖5所示。

表2給出一組頻率特征點處的實驗測試數據。

根據實驗數據繪制的開關電容帶阻濾波器的波特圖如圖6所示。

從表2的實驗數據和波特圖中都可以看出高頻部分的增益略小于0dB,這是外接的低通濾波器引起的。這種微小的誤差是可以忽略的。
本文提出了一種開關電容帶阻濾波電路的設計方案,并在方案中采用了抗混疊濾波的精簡降噪方法。經過反復測試表明該方案能有效消除高頻混疊和噪聲干擾。實驗結果證明,在給定Q=3的情況下可以做到較高的陷波深度,且中心頻率具有很高的精度,實現了很好的濾波效果。
利用數字化開關電容技術設計實現的帶阻濾波器對陀螺儀等精密儀器的信號處理及其計算機控制具有重要的理論意義與應用參考價值。






