【導讀】現在的主流應用是采用板內繼電器來控制功率負載,隨著技術的不斷推進,板內繼電器帶來的問題迫切需要解決,負載的故障狀態也需要診斷,因此新型的預驅動器和MOSFET控制功率負載的解決方案越來越多的得到關注。
隨著汽車電子設備的不斷增多,如自動變速箱,電動后視鏡折疊、中控自動門鎖等高級功能的普及,我們電控模塊的驅動方式也發生了改變,從傳統的板內繼電器的驅動方案到現在越來越多的半導體驅動芯片(預驅動器、MOSFET)的解決方案。
現在的主流應用是采用板內繼電器來控制功率負載。雖然繼電器的成本比較低,控制也相對簡單,但是其大體積、短壽命和會產生噪聲的缺點也非常明顯,具體請參考表1。

表1:板內繼電器驅動方案優缺點比較


隨著技術的不斷推進,板內繼電器帶來的問題迫切需要解決,負載的故障狀態也需要診斷,因此新型的預驅動器和MOSFET控制功率負載的解決方案越來越多的得到關注,現如今安森美半導體MOSFET的Rds(on)可以做到幾毫歐姆,這就意味著我們可以用MOSFET來驅動幾十甚至上百安培的電流,其耐壓也可以做到60?100V特,可以滿足我們汽車電子的要求,所以考慮用MOSFET取代繼電器,而MOSFET自我保護功能較差,汽車電子應用中往往會存在一些過流,過壓的惡劣工況會擊穿和損壞MOSFET, 所以在應用的時候必須選用預驅動器來加以保護。
[page]
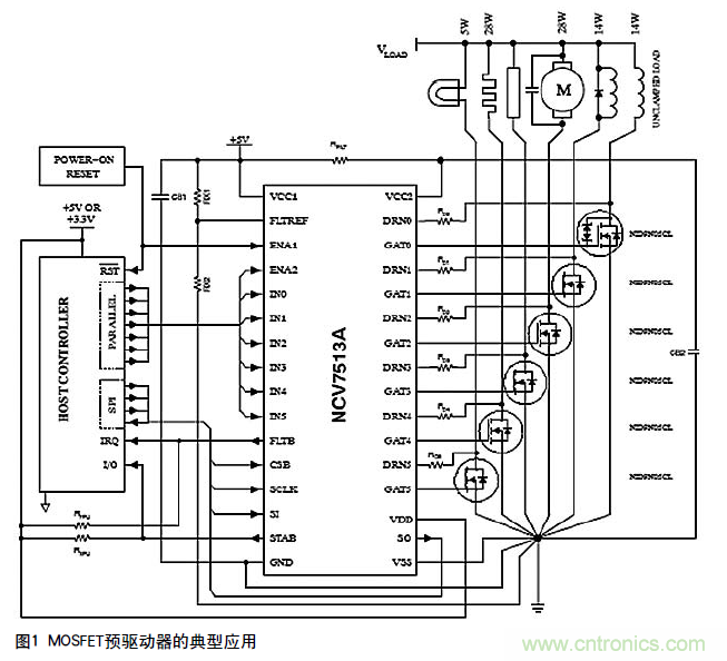
首先我們來了解一下預驅動器的工作方式(見圖1)。其采用MOSFET作為負載的開關,通過預驅動器的G管腳和D管腳實現對MO S F E T的控制和負載故障信息的采集,并且通過S P I通信和F L T B管腳反饋到微控制器。通過這種解決方案我們可以既解決了繼電器所無法實現的診斷功能,又有效的控制驅動電路模塊占用PCB板的空間,壽命也有了很大的提升,同時也消除了由繼電器帶來的噪聲。當然在應用的時候也需要有一些注意事項。
1)故障保護和診斷參數的配置
2)根據實際負載情況,選擇合適的MOSFET
3)MOSFET散熱的計算
負載故障大致可以可分為過壓、過熱、開路、對地短路、負載短路等。其中,預驅動器可以對開路,對地短路,負載短路的故障進行保護和診斷,可以適用于不同種類的負載(感性負載、電阻類負載、電機負載等),并且以滿足汽車電子環境測試的國家標準。
那么如何來選擇一顆合適的MOSFET作為負載的開關呢,要結合MOSFET的參數,負載的參數和總體方案的成本來考慮。
首先,MOSFET是通過負載直接與汽車電池相接,那么汽車電池的電壓直接作用于MOSFET,所以VDSS一定要高于汽車電池的電壓,對于12V汽車系統來說,考慮到汽車上拋負載的測試條件,40V以上的VDSS比較合適,而對于24V汽車系統來說,60V的VDSS比較合適,一般來說VDSS越高,成本也會越高。
其次, 負載的功率是選擇MOSFET的一個必要條件,通過負載的電流越大,MOSFET的導通電阻就要越低。同樣的一般來說導通電阻越小,成本也會越高。
以一顆MOSFET NID9N05CL為例,通過規格書,我們可以得到如下參數。


另外,預驅動器在診斷過流故障的時候,往往會有自動檢測功能,也就是說,如果負載短路發生,預驅動器會每隔一段時間打開MOSFET對電流進行檢測。
[page]
如果負載短路發生,預驅動器會每隔10m s或者40m s(根據不同配置)打開MOSFET 45μs,那么在這45μs內,MOSFET就會處于短路狀態,那么我們就要計算在這期間產生的過熱是否會把MOSFET燒壞。

占空比D=45/10000=0.045;
根據圖2 所示, 選擇SINGLE PULSE的曲線來計算。

總結
隨著半導體工藝的不斷進步,半導體驅動器將在汽車電子模塊應用中占主要地位,那么預驅動器和MOSFET的解決方案也將成為設計師所更關注的一種驅動方式,正確地運用預驅動器和MOSFET可以使我們汽車電子的產品不斷進步。
相關閱讀:
如何針對應用選擇合適的MOSFET驅動器?
http://m.shuilikongzhifa.com/gptech-art/80021269
LED驅動器設計:如何用低成本實現高功率因數
http://m.shuilikongzhifa.com/opto-art/80021530
針對LED車前燈和DRL的LED驅動器設計方案
http://m.shuilikongzhifa.com/power-art/80021015



