【導讀】反激式變換器會用到較多的電感元器件,因此在討論設計之前先簡單地介紹一下磁性元器件的基本知識,接著將討論離線式反激變換器的電路元件參數選取和變壓器設計,由于內容較多,變壓器的設計下期將為大家詳細講解。
在學習了前兩章作者獨創的反激式開關電源設計方法及參數計算以后,不知道對大家有沒有幫助呢?下面我們就繼續跟著作者學習吧!
4.磁芯電感器的基本知識
反激式變換器會用到較多的電感元器件,因此在討論設計之前我們簡單地介紹一下磁性元器件的基本知識。選擇電感器時,我們經常提到電感的飽和電流,首先我們看一下什么是電感飽和電流。

圖十:環形線圈示意圖
如圖十所示的環形線圈,假設線圈匝數為N匝,流入電流I,那么根據安培環路定律,以圖中r為半徑對磁場強度進行積分可得:

不難看出,磁場強度正比于電感電流,反比于磁路長度。又因為磁場強度與磁感應強度B(也可以叫做磁通密度)存在如下關系:

往期回顧:
大牛獨創:反激式開關電源設計方法及參數計算
http://m.shuilikongzhifa.com/power-art/80021928
大牛獨創(二):反激式開關電源設計方法及參數計算
http://m.shuilikongzhifa.com/power-art/80021936
[page]
其中μ0和μr分別為空氣磁導率和介質磁導率。所以當電流增大時,電感內部的磁場強度增大,如果想對磁導率保持不變的話,磁感應強度也會隨之增大。對于開關電源中的電感器件,一般都是帶有磁芯材料的,對于一般的磁芯材料,對磁感應強度(磁通密度)的大小有一定的限制,當材料中的磁感應強度隨磁場強度增大到一定值后,磁感應強度不再隨磁場強度增加而增加,可以看做相對磁導率μr不為常量,我們把此時的情況叫做磁芯飽和。
為了防止磁芯進入飽和,我們必須將磁芯中才磁感應強度限定在一定的范圍內,另外,考慮到磁芯的損耗也與磁感應強度的大小成正相關關系,所以又進一步減小了磁感應強度的選取范圍。對于通常的鐵氧體磁芯,我們一般選擇工作的磁感應強度為1600G(即0.16T)。
根據磁通量、磁鏈的定義以及相關關系,我們有如下公式:

其中φ表示截面積為A的磁芯中的磁通量,ψ表示磁鏈,N表示線圈匝數。從上面的關系式可以得出:

不難看出,當要求的電感量一定時,減小磁芯中磁感應強度的方法有兩種:增加線圈匝數或增大磁芯截面積(即選用更大尺寸的磁芯)。在實際的工程應用中,增加線圈的匝數一方面可能導致磁芯無法容納所有繞組,另一方面會導致電感的內阻增加,線圈損耗增加,從而不得不增加線徑,使得磁芯容納繞組更加困難。所以在選擇磁芯時,需要同時考慮磁芯截面積Ae和磁芯的窗口面積Aw。常見的經驗公式中,一般選取Ae和Aw的乘積Ap作為選擇磁芯的標準。
5.離線式反激式變換器的系統設計
本節將討論離線式反激變換器的電路元件參數選取和變壓器設計,重點介紹變壓器的設計。
5.1保險絲和負溫度系數熱敏電阻
反激式變換器的輸入端通常串聯保險絲盒一個標稱阻值幾歐到幾十歐的負溫度系數熱敏電阻(NTC),保險絲的作用顯而易見,在電路出現短路或者過流時,為整個電路提供最后一道保護屏障。負溫度系數熱敏電阻則在電路啟動時起到了減小浪涌電流的作用。當輸入端接通電源時,對于沒有PFC功能的電路,輸入濾波大電容將造成輸入端出現大的浪涌電流,接入NTC后,由于啟動瞬間NTC溫度較低,阻值較大,有效抑制了浪涌電流。隨著電源的工作,NTC流過電流發熱,阻值減小,NTC造成的線電壓損耗也隨之降低。
[page]
由于保險絲和熱敏電阻都屬于阻性元件所以選取時根據有效值電流計算。例如圖七所示的電路中,輸出5V/2A,預估效率75%,我們首先計算出電源輸入端的最大有效值電流:

那么,我們選擇保險絲的時候,要求額定電流大于這個值,考慮到浪涌電流對保險絲壽命的影響,我們通常選擇額定電流比這個值大數倍的保險絲。另外需要注意的是保險絲的額定電壓,如果選擇的保險絲額定電壓低于電源最高輸入電壓,可能造成保險絲的兩極之間出現拉弧現象。例如圖六中選擇了1A/250V的保險絲。
對于熱敏電阻,我們首先需要了解穩定情況下的阻值,然后根據阻值和最大有效值電流得出電阻上的功耗,最后選取額定功率大于計算值的電阻。對于小功率的開關電源,通常省去了熱敏電阻。
5.2共模電感和安規X電容的選取
共模電感和安規X電容一起組成了共模濾波器。在開關電源中,這兩者的參數相對變化較小。對于共模濾波器電感,電感量在幾mH到幾十mH,一般情況下,功率越大時,共模電感的電感量越小。安規X電容恰恰相反,功率越大時,該電容的容量通常越大。安規Y電容的容量一般在100nF到幾百nF。
共模電感和安規X電容的具體參數很難通過公式計算,通常應用中,依據經驗值大概確定電感量和電容量的大小,然后在測試者對參數調整。共模電感選取的另一個要點是保證輸入電流不會導致磁芯的飽和。對于成品化的共模電感,可以提供輸入功率等參數進行選購。
5.3輸入整流二極管的選擇
市電輸入一般為50Hz或60Hz的工頻信號,輸入整流二極管一般為高壓PiN二極管,因此二極管的功耗主要是導通損耗。導通損耗等于二極管的正向壓降與正向平均電流的乘積,對于交流正弦輸入和全橋整流的應用,平均二極管電流等于有效值電流乘以正弦因子,計算公式如下:

所以理論上計算得到所需的二極管最大整流電流只需大于75mA。但是考慮到額定電流更大的二極管發熱更低,并且在大的輸入濾波電容作用下,流過整流二極管的電流波形為尖脈沖,為了增加二極管的壽命和可靠性,通常選擇額定電流遠大于計算所得到的最大平均電流。整流二極管的另一個重要參數是最大反向工作電壓,橋式整流中,二極管承受的最大反向電壓即市電輸入最高電壓。在實際應用中,為了安全起見,一般選擇最大方向工作電壓為市電最高輸入電壓2倍的二極管。圖七所示的電路中選取了1A/600V的整流橋。
[page]
5.4輸入濾波電容的選取
輸入濾波電容使整流后的半正弦信號變為相對平坦的直流電,電容量的大小決定了直流的平坦度。假設充放電階段電容上的電壓都是線性變化的,我們可以得到圖九所示的波形。一個周期內,在AB段,市電通過整流二極管向電容充電,電容上的電壓上升,在BC段,電容向后級負載放電,電容上的電壓下降。電容上的電壓周期性地波動,周期為工頻周期的一半。

圖九:電容上的直流電壓波形
輸入濾波電容上的電壓即變換器的輸入電壓,為了較為準確地得到變換器輸入直流電壓的范圍,我們需要計算電容上電壓的波動值。我們假設一個周期內電容的充電時間為Tch,并且規定充電時間占周期時長的百分比Dch,根據經驗,Dch一般取0.2到0.3,我們得到如下的計算過程:
其中,I表示電容后接負載的平均電流,在電容上電壓波動不大的情況下,我們通過下式估算:

其中Pin為反激變換器的輸入功率,等于輸出功率與系統效率的比值。最后我們得到電容上電壓波動范圍計算式如下:

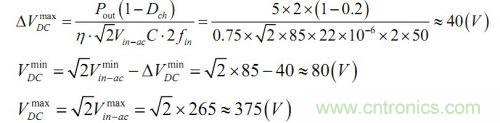
其中fin表示工頻頻率,50或60Hz,η為系統的效率。從上面的計算可以看出,變換器輸入直流電壓的波動正比于輸入功率,反比于輸入電容容量。對于離線式反激式變換器,一般按照每W輸出功率2—3μF選取輸入濾波電容。在確定輸入濾波電容容量后,就可以得到變換器的輸入直流電壓范圍。例如,對于圖七所示電路,輸入85V—265V交流市電,預估效率為0.75,取Dch=0.2,得到如下計算結果:

變壓器是開關電源設計中的難點和重點,因此講述的內容較多,下期將為大家詳細講解。
相關閱讀:
陶顯芳老師30年設計經驗大分享
——開關電源設計那些事兒
http://m.shuilikongzhifa.com/special/181
低EMI、高效的零電壓開關反激式開關電源設計
http://m.shuilikongzhifa.com/power-art/80021603
經驗分享:開關電源的常見故障及維修技巧
http://m.shuilikongzhifa.com/power-art/80021622



