【導讀】工程師面對boost電路設計,總會多方面考慮boost電路的電壓負載能力是否達標,如何提升負載能力,哪種驅動方式比較好,如何有效避免電壓出現峰值等等問題。本文就由專家解析關于boost電路的種種問題。
如何增強boost升壓電路負載能力?
實際案例
在本案例中,Boost電路設計為最基礎的結構類型,即由一個儲能電感、一個肖特基二極管、一個大電容、一個MOS開關管組成,使用SG3525做PWM驅動器,直接一路驅動+閉環電壓反饋。開通后由12V輸入升壓到55V、1.5A,一帶載電壓就降到22V左右,升不上去。電壓升到24V后能夠帶一個40W的負載,但是電壓相應的會下降2V左右。電路空載時輸出電壓良好,為55V,電壓調整率穩定,輸出電壓比較穩定的,但帶不了負載。
案例分析
依據本案例的描述,那么這個boost電路所需要的是一個占空比能超過50%的控制芯片。如果是采用的一路輸出帶的MOS管,最大占空比50%左右。即使理想情況下,50%的最大占空比帶載后最大輸出電壓也不過24V,所以輸出22V,再正常不過了。
除此之外,另一個可行的辦法就是需要用兩只MOSFET分別用3525的兩個輸出端驅動,兩只MOSFET漏極并聯。采用這個辦法可以得到正常運轉所需要的電壓,不過3525沒有限制最大占空比,對于Boost電路有可能出現占空比始終為為最大的錯誤狀態。這時候兩只MOSFET輪流導通,沒有關斷的時刻也無法輸出能量,因此需要手動開啟軟啟動功能,在軟啟動的狀態下,這個電路是可以正常工作的。
小結:當所設計的boost電路出現負載能力削弱或無負載的情況時,可以從占空比和芯片兩個方向入手進行排查。除此之外,工程師還可以通過查詢手冊的方式進行功能篩選排查,不同的機型擁有不同的特性,有事通過功能設置就可以解決負載功能弱的問題,無需再進行電路系統設計改動。
怎樣有效避免Boost電路輸出電壓出現峰值
使用模擬器進行計算模擬,可以幫助工程師在設計階段有效避免成本、機械損失。在進行仿真測試時,boost電路輸出電壓出現峰值問題是比較常見的,通常與模型的自帶參數、電路設計缺陷、電壓輸出不穩定等問題有關。下面我們將通過一個案例,為大家解讀怎樣才能夠有效的在模擬測試階段避免boost電路輸出電壓出現峰值問題。
案例情況
使用仿真模擬器進行boost線路模擬,在操作中的具體參數為:輸入電壓24-48V,輸出電壓380V,P_out為500W。
峰值情況如下圖所示:

圖1:在仿真模擬器上所出現的峰值
[page] 專家分析
依據波形和具體的參數進行分析后,可以判定造成峰值的主要原因是由于模型自帶的寄生參數導致的。
我們可以從數學角度定性分析一下。仿真的是固定Duty的Voltage Mode control Boost輸出對階躍輸入的響應,從輸入到輸出的傳函為:

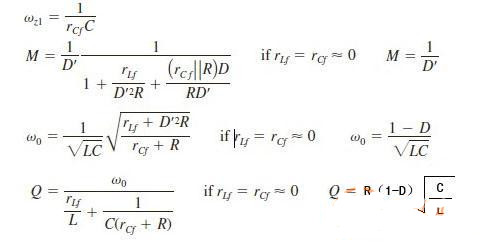
其中,Q值計算的具體過程如下:

我們知道,小信號分析的前提條件是在電路處于穩態DC工作點,假設在變量穩態時加上幅值非常小的AC擾動信號。于是該問題就變成了典型的二階系統階躍響應分析,影響到輸出電壓的那個峰值大小及形狀的主要因素就是這個Q值。
而二階系統的階躍響應可估算為:

所謂的二階系統的階躍響應也就是模型自帶的寄生參數,包括電感、電容Esr,二極管、MOS導通電阻等。想要避免峰值的產生,可以加閉環控制,也可以選擇加軟啟動,相位裕度弄到70度以上就不會有過沖了,能夠有效的防止峰值產生。
小結:通過對該案例的分析我們可以看出,模型自帶參數往往會在仿真測試階段造成峰值。而在實際設計的過程中想要避免峰值出現,工程師可以在電路系統設計時自主設定相應的參數值,并圍繞電感、電容、MOS電阻等方面進行多方面的排查篩選,避免峰值產生。
相關閱讀:
案例解析:BOOST電路斷電后負載LED閃爍的案例
名家解析:SW腳和BOOST腳所組成的BUCK電路
電路設計:解析調節白光LED偏置的無電感boost電路





