【導讀】在全球范圍內從內燃機汽車 (ICE) 轉向電動汽車 (EV) 的條件是相應的充電基礎設施取得重大進展。雖然低功率 (<15 kW) 車載充電機可以在車輛閑置期間支持家庭充電,但長途旅行和服務行業需要更快的充電速度,以對標當前汽油加油站的加油速度。為了提高充電速度,需要同時改進電池技術和充電基礎設施。
在全球范圍內從內燃機汽車 (ICE) 轉向電動汽車 (EV) 的條件是相應的充電基礎設施取得重大進展。雖然低功率 (<15 kW) 車載充電機可以在車輛閑置期間支持家庭充電,但長途旅行和服務行業需要更快的充電速度,以對標當前汽油加油站的加油速度。為了提高充電速度,需要同時改進電池技術和充電基礎設施。
本指南論述了 60 kW 雙有源橋 (DAB) 轉換器的設計、開發和測試,該轉換器可同時滿足電動汽車快速充電機的隔離和調節需求。此外,該設計所選擇的拓撲結構使其能夠并聯,以實現高達 300 kW 的輸出功率。

隨著市場從內燃機 (ICE) 汽車轉向電動汽車 (EV),全球對電動汽車的需求持續增長。電池和電力電子技術的成熟使電動汽車在各種性能指標方面可以與內燃機汽車相媲美,甚至優于內燃機汽車。然而,大規模推廣電動汽車的限制因素仍然是合適的充電基礎設施,以對標當前的內燃機汽車解決方案,即加油。電動汽車的低功率 (<15 kW) 車載充電機 (OBC) 支持車輛閑置期間的長時間充電,例如車庫內夜間充電。但是,這種充電機不適合長途旅行和商用車隊,對于后者,充電時間需要對標當前的內燃機燃油加油時間。
為了滿足上述充電時間要求并進一步提高電動汽車的整體采用率,需要獨立的電動汽車快速充電機 (>50 kW)。獨立充電機可繞過車輛車載充電機,直接連接交流電網和車輛電池,從而建立高功率的直連。這種高功率輸出通常通過提高電壓來實現,以避免使用大電流電纜。雖然快速充電機可能比車載充電機大,但仍然需要提高效率和功率密度,以便大規模推廣。
2. 拓撲選擇
由于電動汽車快速充電機直接連接在交流電網和車輛電池之間,為了安全可靠地運行,充電機必須能隔離用戶與交流電網,并能對充電機輸出電壓/電流進行調節。隔離可以通過直接連接到交流電源的工頻率變壓器來實現。然而,對于電動汽車快速充電所需的功率水平,相應的變壓器會大得不現實。碳化硅電力電子器件能夠在高開關頻率下工作,因此可以采用高頻率變壓器。與同額定功率的低頻率變壓器相比,高頻率變壓器的優勢是尺寸明顯更小。因此,在設計中采用了高頻率變壓器。
成功的設計要求將電網交流電壓整流為直流母線電壓,才能連接到電池。這可以通過二極管無源整流來實現,或者通過采用諸如 AFE 轉換器等拓撲結構的有源整流來實現。AFE 與無源整流相比具有顯著優勢,例如可提供可調節的輸出電壓,并可實現雙向功率傳輸。本白皮書所述的設計假設輸入連接到 AFE-調節直流母線電壓,但在本白皮書中不對此進行論述。
有多種拓撲結構可以與高頻率變壓器配對,以提供所需的電動汽車充電機隔離。例如串聯諧振轉換器 (SRC)、LLC 和 CLLC(以其諧振槽中的元件命名)、移相全橋 (PSFB) 和雙有源橋 (DAB)[1]。出于多方面的原因,本設計選擇使用 DAB 拓撲結構。首先,DAB 可以在各種工作條件下在變壓器的一次側和二次側實現零電壓開關 (ZVS) 操作,由此減少了系統的整體損耗,從而提高了效率并降低了熱管理要求。其次,該設計支持雙向運行,這對于電動汽車充電機可以反向饋送交流電網的車網互動(vehicle-to-grid)應用至關重要。第三,DAB 可以同時滿足快速充電機的隔離和調節要求。與 AFE 配對時,整個充電機僅包括兩個級,如圖 1 所示。因此不需要為了進行最終輸出調節而包含三個級(三級充電機)。第四,DAB 拓撲結構容易并聯提供更高的累加輸出功率。相比之下,全諧振拓撲的并聯運行可能比較困難,因為這種拓撲通常要求并聯級之間的開關頻率精確匹配。并聯運行使 DAB 設計能夠作為模塊使用,通過添加或減少并聯單元來實現不同的最大輸出功率額定值。

圖 1:二級電動汽車充電機架構
3. 雙有源橋 (DAB) 轉換器工作方式
DAB 轉換器在變壓器的一次側和二次側均采用全橋電路,如圖 2 所示。請注意,該圖還包含其他組件,稍后將對此進行論述。兩個全橋的工作方式相同,因此僅詳細論述一次側器件,二次側器件的工作方式與此相同。所有開關位置都采用脈寬調制 (PWM) 方式工作,占空比為 50%(不包括死區時間的影響)。全橋的對角開關位置同相運行;即
。但兩組對角之間反相;即:

圖 2:CRD60DD12N-GMA 框圖
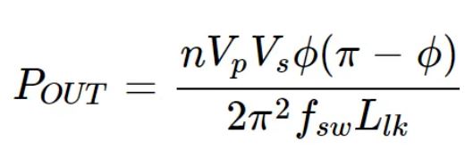
變壓器的一次側和二次側都是這種開關方式。DAB 的功率傳輸是通過在變壓器一次側和二次側之間引入相移來實現的,如圖 3 所示。通過控制一次側和二次側之間的相移,可以調節輸出功率,如下所示

其中 POUT 是 DAB 的輸出功率 [W],n 是變壓器變比 [無單位],VP 是一次側直流電壓 [V],VS 是二次側直流電壓 [V],
是相移 [弧度],fsw 是開關頻率 [Hz],Llk 是電路漏電感 [H]。當
=
時,達到峰值輸出功率。值得注意的是,該控制方案僅在一次側和二次側之間引入單個相移。通過在一次側的互補對角對之間和二次側的互補對角對之間引入獨立的相移(通常稱為三重相移 (TPS) 工作方式),可以進一步改進 DAB。然而,這些改進超出了本文的范圍。

圖 3:單相移時序圖(死區時間省略)
該設計的硬件以 CAB006A12GM3T 半橋功率模塊為中心,如圖 4 所示。該模塊采用壓接技術,通過簡單的壓入操作即可輕松將模塊集成到設計中,無需通過螺栓連接端子或焊接大型銅箔。此外,該模塊采用無底板設計,省掉了模塊熱堆棧中的一個原件,因此可以提高熱性能。該模塊全部采用 SiC MOSFET,以實現上文所述的 SiC 電力電子器件帶來的電路級改進。最后,該模塊使用預涂熱界面材料 (TIM),具有多項優勢,包括:TIM 經過專門選擇,與許多現成的 TIM 相比具有更高的性能;預涂意味著 TIM 始終均勻且牢固;并且 Wolfspeed 充分地體現了采用該 TIM 的模塊的熱性能。

圖 4:CAB006A12GM3T 功率模塊
實現的設計硬件如圖 5 所示。該設計使用四個 CAB006A12GM3T 半橋功率模塊在變壓器的一次側和二次側形成全橋電路。上述模塊直接安裝在液冷冷板上,該板連接到變壓器的兩側,也為變壓器提供冷卻。采用匝數比為 1:1、磁化電感為 248 μH、漏電感為 5 μH 的高頻率變壓器進行隔離。該設計僅依靠變壓器的漏電感來實現 ZVS,不需要在電路中添加專用的漏電感器。
采用高性能 Wolfspeed CGD1700HB2M-UNA 柵極驅動器驅動每個半橋模塊,即使在總線電壓升高的情況下也能實現快速操作。柵極驅動器的每個位置均通過板載隔離式 DC-DC 電源和 Texas Instruments UCC21710 隔離式柵極驅動器集成電路進行隔離。采用 Texas Instruments TMDSCNCD28379D 通用控制器進行控制,可輕松實現固件定制,該設計包括集成控制器局域網 (CAN) 接口,可與控制器進行穩健可靠的實時通信,以實現反饋和控制更新。該設計還包括用于監控輸入/輸出電壓的電壓反饋測量和用于監控變壓器偏置電流的變壓器電流測量。

圖 5:CRD60DD12N-GMA 硬件
該系統在多種工作條件下進行了實驗驗證,以演示系統操作。在 100 kHz 的目標開關頻率下評估了各種負載條件下的性能。實驗驗證的完整參數如表 1 所示。該系統使用單相移開環運行。實驗測量值用于驗證所實現的 DAB 電路的各種性能特征。首先,在實際運行功率下驗證相移控制。使用 Wolfspeed 圖形用戶界面 (GUI) 手動控制相移,如圖 6(a) 所示。圖 6(b) 和圖 6(c) 分別顯示了一個開關位置的一次側和二次側柵源電壓 (VGS) 和漏源電壓 (VDS) 的測量值。正如預期的那樣,在 VGS 和 VDS 測量中,在一次側和二次側開關位置之間測量到了可配置的相移。

圖 6:(a) DAB 圖形用戶界面,(b) VGS 測量中的相移驗證,(c) VDS 測量中的相移驗證
其次,使用電阻器組作為系統負載在高功率下評估輸出調節和變壓器運行。圖 7 顯示了在 ? = 11.6° 和 POUT = 40 kW 條件下運行的系統的時域測量示例。如圖 6 所示,VGS 和 VDS 相移在電路測量中也很明顯。此外,測量結果表明電路正常地將輸出電壓調節到穩定的 800 V(目標輸出電壓)。最后,變壓器電流測量結果符合雙有源電橋電路的預期梯形特征,表明電路工作正常。

圖 7:
= 11.6° 且 POUT = 40 kW 時的時域測量示例
第三,檢查系統是否成功實現 ZVS 操作。圖 8 顯示電路在
= 18.9° 且 POUT = 60 kW(額定功率)下工作時一個開關位置的一次側和二次側 VGS 和 VDS。在柵極信號命令器件導通之前,兩側的漏源電壓達到 0 V,確認系統在 ZVS 下成功運行。

圖 8:驗證零電壓開關導通
第四,通過改變輸出負載來評估不同輸出功率水平下的系統效率。實測效率如圖 9 所示。由于該系統使用 SiC 器件運行,因此該電路能夠在較寬的輸出功率水平范圍內保持高效率(當 POUT ≥ 20 kW 時,效率 > 98.7%),并且電路的峰值效率達到 99.2%。在 20 kW 以下,系統不能再以 ZVS 方式運行,因此效率降低,這也符合預期。

圖 9:實測效率
6. 仿真
Wolfspeed 提供 Wolfspeed 產品組合中所有功率模塊的 Plexim PLECS? 模型,包括本 DAB 設計中的 CAB006A12GM3T。這些模型可在此處獲取。基于這些可公開獲取的模型,開發了完整的 PLECS 仿真(如圖 10 所示)來捕獲本 DAB 設計的行為。為了檢查模型的有效性,首先在與上文所述的實驗結果相同的操作條件下進行仿真,仿真結果與實驗結果高度吻合。例如,圖 11 顯示了 60 kW 運行期間的仿真和實驗測量一次側和二次側變壓器電流。仿真準確地捕獲了基本電路行為和實驗結果中觀察到的測量幅度。

圖 10:CRD60DD12N-GMA 仿真

圖 11:仿真驗證
如經證明可以模擬一般電路操作,該仿真就可以用于研究各種控制策略的性能,并了解所包含的電路參數的敏感性。例如,圖 12 顯示了改變漏電感對變壓器一次側電流的影響。仿真表明,增加漏電感會增加系統中的變壓器一次側峰值電流。降低漏電感可降低峰值電流。仿真可用于進一步優化組件和控制器策略。

、圖 12:變壓器漏電感仿真靈敏度分析
本白皮書介紹了一款 60 kW 雙有源橋式轉換器,其可作為電動汽車快速充電機的構建模塊。該設計以 Wolfspeed CAB006A12GM3T 半橋功率模塊為中心。全 SiC 功率模塊采用高性能預涂熱界面材料、可提高熱性能的無基板設計以及可輕松集成的壓接引腳。本文中論述的模塊化 DAB 與有源前端配對使用時,可以輕松地實現多構建模塊并聯,以將累加輸出功率擴展至高達 300 kW。本白皮書包括設計操作基礎知識、硬件實現論述、實驗驗證和仿真靈敏度分析。
參考文獻
[1] B. W. Nelson, "Wolfspeed WolfPACK? Power Module Platform: Accelerating Fast-Charger Development," Wolfspeed, 1 March 2021. [Online]. Available: https://www.wolfspeed.com/knowledge-center/article/wolfspeed-wolfpack-power-module-platform-accelerating-fast-charger-development/ . [Accessed 7 May 2024].
(文章來源:WOLFSPEED ,作者:Chris New)
免責聲明:本文為轉載文章,轉載此文目的在于傳遞更多信息,版權歸原作者所有。本文所用視頻、圖片、文字如涉及作品版權問題,請聯系小編進行處理。
推薦閱讀:
DigiKey 2024年上半年擴張其產品線,新增多家新供應商且推出創新新產品超過34萬種



