- 微波元件基體材料與衰減的關系
- 波導內表面粗糙度和衰減量的關系
- 波導管安裝誤差與電性能的關系
- 選用導電性能好的原材料
- 采用熱處理方法,這樣能獲得較好的電磁波傳輸性能
近幾年來由于星載天線、大功率雷達的工作頻率越來越高,頻帶越來越寬,發射功率越來越大,使饋線系統的結構形式變得越來越復雜,現有的設計觀念、生產能力已制約了產品性能的提高。
對大功率容量的雷達而言,由于其功率大,饋線系統中重要微波元件的尺寸誤差、表面粗糙度、安裝精度對整個系統的功率容量影響也非常大。若成型的微波元件出現質量問題,設計者很難通過電調得以補救。因此,了解各種誤差對系統電性能的影響,在設計中能預防誤差的產生,在加工中能通過合理的工藝方法消除各種制造誤差,這對保證微波元件的電性能和提高系統的功率容量尤為重要。
波的傳輸特性
在任何情況下,波在傳輸過程中均有損耗及反射。主要原因在于傳輸途中有各種各樣的障礙物,如波導的不規則變形、波導材料的突變、各個波導元件之間口徑尺寸不一致、接頭處波導口不同軸、多次的連接等。反射波不但不能保證電磁波的傳輸,而且駐波波腹處會在大功率工作中導致系統的電擊穿。因此元器件尺寸越精確,法蘭電接觸越好,損耗和反射波就越少。在設計和制造中應該盡可能避免波導的不規則變形,保證尺寸的精確度,同時還要有相應的加工工藝和檢驗技術,確保高頻導電層的良好導電性、平坦性及連接處的準確性,以滿足電氣設計要求。
微波元件基體材料與衰減的關系
即使是理想光滑的波導,其基體材料的導電率也不大。如果給理想光滑的波導內腔電鍍純銀或純銅,可以提高高頻導電層的導電率,從而使波導衰減降低。表1是金屬和合金在20℃,f=10GHz時的衰減量(波導口徑為23mm×10mm)。

從表1的數據可看出,導電性能良好的鋁、銅、銀等材料在傳輸電磁波時損耗較小。同種材料退火去除應力有利于恢復金屬導電結構,使其導電率增加,波導衰減減少。在實際工作中,為了取得良好的經濟效益,應盡量采用熱處理方法,這樣能獲得較好的電磁波傳輸性能。
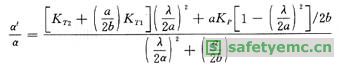
波導內表面粗糙度和衰減量的關系
波導表面粗糙時的衰減量與理想光滑時的衰減量α的比值為:

式中KT1,KT2,Kp分別為波導a,b邊的表面粗糙因子。
由Benson和AILison對各種不同工藝加工的口徑為25.4mm×12.7mm銅波導管,測出KT1,KT2,Kp之后,據上式算出的α′/α之值見表2[1]。[page]

對表2數據的分析可知:
(1)精密拉制成型的波導管性能較好。
(2)電拋光比化學拋光效果好,能獲得較優越的電氣性能。
(3)光亮鍍銅的效果最佳。
波導表面粗糙度越低,加工難度越大,制造成本也越高。為了降低成本、提高經濟效益,在不同頻段,控制波導管表面粗糙度的要求是不同的。頻率越高,波長越小,粗糙度值要求也越低。表3為實際工作中總結出的銅、黃銅、鍍銀波導在不同頻率時的粗糙度要求,可作為設計時的依據。

波導管安裝誤差與電性能的關系
在由許多波導元件組成的系統中,除在波導中插入不均勻性元件會引起波的反射外,兩元件連接處產生的不連續性也會引起波的反射,以至降低傳輸效率。
微波元件在安裝過程中容易出現的問題有以下幾種[2]:
(1)波導口徑不一致,如圖1(a)所示。
(2)波導口徑一致,但中心不同軸,如圖1(b)所示。
(3)波導口徑一致,但中心線不平行,存在夾角θ,如圖1(c)所示。
以23mm×10mm的波導為例,在f=10GHz時不同類型的安裝誤差所引起的駐波比見表4-表7。




對表4~表7的數據分析可知,波導口徑誤差所致的駐波系數比波導口徑一致而因連接錯位所引起的駐波系數要大;偏角對H面駐波系數的影響比對E面駐波系數的影響更顯著。因此微波元件在加工過程中要盡量保證口徑一致、端面法蘭與元件軸心線盡量垂直,使夾角θ≤0.2°,在安裝過程中通過使用定位銷或其他的工藝方法盡量使口徑同軸,這樣才能有效地減小元件的駐波,從而降低電磁波在元件中傳輸時的損耗。
通過對微波元件材料特性、表面質量、加工和安裝精度對電性能的影響的對比分析,找出了可用于指導生產的數值依據和方法,在實際工作中能夠有的放矢,對避免一些不必要的失誤、減少重復勞動有不可忽視的作用。



