【導讀】本文對于微帶貼片天線的設計,是基于其在無線引信中的應用而進行的。該設計為了便于引信的使用,將常規微帶天線的矩形介質改為圓形。從文中天線的幾個仿真結果圖可以看出,天線的中心頻率為7.2 GHz,且此時的天線回波損耗、輸入阻抗、增益方向圖等技術參數都達到了要求。結果表明該天線的性能良好。
微帶天線是在一塊背面敷以金屬薄層作接地板的介質基片上,貼一金屬輻射片而形成的天線。它有微帶線和同軸線這兩種主要的饋電方式。微帶天線在金屬貼片與金屬接地板之間激發輻射場,通過貼片四周與接地板之間的縫隙向外輻射,因此也稱作縫隙天線。頻帶窄、功率容量小、損耗大和基片對性能影響較大等是微帶天線的缺點,其優點是體積小,質量輕,低剖面,制造簡單,成本低,易集成,容易實現雙頻、多頻段工作等,也正是這些優點,使得工作在100 MHz~50 GHz頻率范圍內的微帶天線常用于衛星通信、指揮和控制系統、導彈遙測、武器引信、環境檢測等。
無線電引信在軍事上可用于控制武器彈丸的引炸,來達到最大的殺傷效果。而天線屬于引信察覺裝置的一部分,用于發射和接收信號。所以,天線的性能對引信的工作狀態以及武器彈丸的殺傷力有非常大的影響。由于天線要附著在彈頭上,而一般的彈體頭部大都是圓錐形,為了便于將微帶天線安裝在彈頭部位,本文將設計一個中心頻率為7.2 GHz的圓形微帶貼片天線,其相對介電常數為εr = 4.4,損耗正切tan δ = 0.164 6。
1 圓形微帶天線設計
1.1 介質設計
在天線設計中,介質基片的材料及厚度,對天線的性能有很大影響,所以首先需要考慮介質的材料及其厚度。而材料選擇主要考慮的電特性參數是其相對介電常數εr和損耗角正切tan δ。介電常數的穩定性非常重要,變化的介電常數將導致貼片頻率漂移。介電常數大能減小貼片尺寸,但通常也會減小貼片單元帶寬;介電常數小又會增加貼片周圍的邊緣場,降低輻射效率。大損耗基片常常會降低天線效率,增加反饋損耗,所以在選擇介質材料時,需要綜合考慮。本設計綜合考慮后,確定以FR4環氧樹脂板為介質材料,其相對介電常數為εr = 4.4,損耗正切tan δ = 0.164 6,這也是微帶天線設計中常用的一種材料。
對基片的厚度而言,厚介質基片,可提高天線機械強度、增加輻射功率、減小導體損耗,展寬頻帶;但同時也會增加介質損耗,引起表面波的明顯激勵。對于一個最大工作頻率fm,根據微帶電路理論,厚度應該滿足:

式中:c為光速;fm 為最大工作頻率,εr 為相對介電常數。通常在h/fm< 0.1 即可保證不會引起表面波的明顯激勵。
本設計以FR4板為介質基片,根據設計要求,考慮到擴寬頻帶,和減小天線的體積要求,再結合式(1),給出介質厚度的初始值為2 mm。
1.2 輻射貼片設計
對于已知的介質基片,在給定的工作頻率fr=7.20 GHz時,圓形微帶天線的貼片半徑為:

1.3 天線的饋電及輸入阻抗
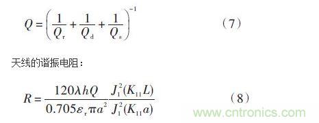
本設計采用同軸饋電的方式,是通過在輻射貼片上的饋電點位置不同來改變輸入阻抗,使天線獲得阻抗匹配。一般的微波器件通用的是50 Ω系統,所以需要通過改變饋電點的位置來使天線達到50 Ω的輸入阻抗。計算天線的輸入阻抗,需要從介質損耗、輻射損耗、導體損耗、表面波損耗幾個方面考慮,不能單方面考慮某一因素,否則會引起很大的誤差。Qr,Qc,Qd,Qs分別是輻射損耗、導體損耗、介質損耗和表面波損耗所引起的相應Q 值。
天線工作在主模,即TM11 時:

由于設計中采用理想導體饋電,故Qc = 0。所以:

式中:J1 是一階第一類貝塞耳函數。令R = 50 Ω ,代入式(8),就可以估算出饋電點的位置L,即在離圓形貼片中心L 處饋電,即是天線達到50 Ω 的輸入阻抗。
同軸線內芯半徑暫時設為0.6 mm,同時在接地板上挖出一個圓孔作為信號輸入端口,將內芯包圍起來構成同軸線,半徑約為1.5 mm,端口的阻抗為50 Ω。
通過上面分析,得出天線參數的初始值:圓形輻射貼片半徑:a = 5.39 mm;介質基片厚度:h = 2.00 mm;介質基片半徑2*a;饋電點位置:L = 1.96 mm;內芯半徑:n = 0.6 mm;外芯半徑:m = 1.5 mm。
2 運用HFSS 軟件進行天線仿真
基于ANSOFT 公司HFSS 三維仿真軟件,對天線進行建模分析。仿真流程見圖1。

圖1 仿真流程圖
根據初始尺寸及HFSS天線設計要求,創建天線初始模型如圖2所示。

圖2 天線結構圖
通過HFSS對初始值的仿真可知,當前的初始值并沒有完全使天線達到7.2 GHz,且此時天線的各項性能指標也達不到要求。那么,需要用到HFSS的掃頻分析和優化設計功能來優化天線的各項參數,使引信天線的性能達到最佳。
[page]
2.1 天線的優化設計
(1)通過HSFF 軟件在諧振頻率附近做掃頻分析,對圓形貼片的半徑進行修正。可以得到7.2 GHz 時對應的貼片半徑a 的最佳值為5.216 mm。
(2)分析介質基片厚度對天線性能的影響。借助于HFSS,得到對于不同的介質基片厚度對天線回波損耗的影響。根據回波損耗隨介質基片厚度的變化圖和不同介質基片厚度對S11, Smith 圓圖的影響,可以分析出介質基片厚度的最佳值h = 2.021 mm。
(3)分析饋電點位置對天線性能的影響。這部分主要是分析不同的饋電位置與回波損耗及輸入阻抗之間的關系。并通過對饋電點位置L 的掃描,選擇出最符合條件的饋電點L = 1.863 mm。
(4)用HFSS 軟件設計好天線的標準,然后對天線的各個參量進行系統自動優化,計算出符合條件的各參數的最佳值。得到的結果如下:
圓形輻射貼片半徑:a=5.216 mm;介質基片厚度:h=2.021 mm;介質基片半徑2*a;饋電點位置:L=1.863 mm;內芯半徑:n=0.516 mm;外芯半徑:m=1.854 mm。
2.2 結果分析
由HFSS軟件給出在優化尺寸下的S11,Simth圓圖、增益的方向圖,如圖3~圖5所示。

圖5

從圖3 結果可以看出,設計天線的諧振頻率是7.2 GHz,且此時的回波損耗為-33.037 9 dB,達到了天線的設計要求。
圖4顯示,在頻率為7.2 GHz時,天線的歸一化阻抗為(0.977 5 + 0.037 9i)Ω ,這個結果顯示出此時天線達到了很好的阻抗匹配狀態。
圖5是天線在xz 和yz 截面上的增益方向圖。圖示結果顯示,最大輻射方向為φ = 0°, θ = 0°,且增益為5.486 dB。
圖6是天線的三維增益方向圖。

圖6 三維增益方向圖





