【導讀】電子設備雷擊浪涌抗擾度試驗的國家標準為 GB/T17626.5(等同于國際標準 IEC61000-4-5 )。
1、電子設備雷擊浪涌抗擾度試驗標準
電子設備雷擊浪涌抗擾度試驗的國家標準為 GB/T17626.5(等同于國際標準 IEC61000-4-5 )。
標準主要是模擬間接雷擊產生的各種情況:
(1)雷電擊中外部線路,有大量電流流入外部線路或接地電阻,因而產生的干擾電壓。
(2)間接雷擊(如云層間或云層內的雷擊)在外部線路上感應出電壓和電流。
(3)雷電擊中線路鄰近物體,在其周圍建立的強大電磁場,在外部線路上感應出電壓。
(4)雷電擊中鄰近地面,地電流通過公共接地系統時所引進的干擾。

標準除了模擬雷擊外,還模擬變電所等場合,因開關動作而引進的干擾(開關切換時引起電壓瞬變),如:
(1)主電源系統切換時產生的干擾(如電容器組的切換)。
(2)同一電網,在靠近設備附近的一些較小開關跳動時的干擾。
(3)切換伴有諧振線路的晶閘管設備。
(4)各種系統性的故障,如設備接地網絡或接地系統間的短路和飛弧故障。
標準描述了兩種不同的波形發生器:一種是雷擊在電源線上感應生產的波形;另一種是在通信線路上感應產生的波形。
這兩種線路都屬于空架線,但線路的阻抗各不相同:在電源線上感應產生的浪涌波形比較窄一些(50uS),前沿要陡一些(1.2uS);而在通信線上感應產生的浪涌波形比較寬一些,但前沿要緩一些。后面我們主要以雷擊在電源線上感應生產的波形來對電路進行分析,同時也對通信線路的防雷技術進行簡單介紹。
2、模擬雷擊浪涌脈沖生成電路的工作原理

上圖是模擬雷電擊到配電設備時,在輸電線路中感應產生的浪涌電壓,或雷電落地后雷電流通過公共地電阻產生的反擊高壓的脈沖產生電路。4kV 時的單脈沖能量為 100 焦耳。
圖中 Cs 是儲能電容(大約為 10uF,相當于雷云電容);Us 為高壓電源;Rc 為充電電阻;Rs 為脈沖持續時間形成電阻(放電曲線形成電阻);Rm 為阻抗匹配電阻 Ls 為電流上升形成電感。
雷擊浪涌抗擾度試驗對不同產品有不同的參數要求,上圖中的參數可根據產品標準要求不同,稍有改動。
基本參數要求:
(1)開路輸出電壓:0.5~6kV,分 5 等級輸出,最后一級由用戶與制造商協商確定;
(2)短路輸出電流:0.25~2kA,供不同等級試驗用;
(3)內阻:2 歐姆,附加電阻 10、12、40、42 歐姆,供其它不同等級試驗用;
(4)浪涌輸出極性:正 / 負;浪涌輸出與電源同步時,移相 0~360 度;
(5)重復頻率:至少每分鐘一次。

雷擊浪涌抗擾度試驗的嚴酷等級分為 5 級:
1 級:較好保護的環境;
2 級:有一定保護的環境;
3 級:普通的電磁騷擾環境、對設備未規定特殊安裝要求,如工業性的工作場所;
4 級:受嚴重騷擾的環境,如民用空架線、未加保護的高壓變電所。
X 級:由用戶與制造商協商確定。

圖中 18uF 電容,可根據嚴酷等級不同,選擇數值也可不同,但大到一定值之后,基本上就沒有太大意義。
10 歐姆電阻以及 9uF 電容,可根據嚴酷等級不同,選擇數值也不同,電阻最小值可選為 0 歐姆(美國標準就是這樣), 9uF 電容也可以選得很大,但大到一定值之后,基本上就沒有太大意義。
3、共模浪涌抑制電路
防浪涌設計時,假定共模與差模這兩部分是彼此獨立的。然而,這兩部分并非真正獨立,因為共模扼流圈可以提供相當大的差模電感。這部分差模電感可由分立的差模電感來模擬。
為了利用差模電感,在設計過程中,共模與差模不應同時進行,而應該按照一定的順序來做。首先,應該測量共模噪聲并將其濾除掉。采用差模抑制網絡(Differential Mode Rejection Network),可以將差模成分消除,因此就可以直接測量共模噪聲了。
如果設計的共模濾波器要同時使差模噪聲不超過允許范圍,那么就應測量共模與差模的混合噪聲。因為已知共模成分在噪聲容限以下,因此超標的僅是差模成分,可用共模濾波器的差模漏感來衰減。對于低功率電源系統,共模扼流圈的差模電感足以解決差模輻射問題,因為差模輻射的源阻抗較小,因此只有極少量的電感是有效的。

對 4000Vp 以下的浪涌電壓進行抑制,一般只需采用 LC 電路進行限流和平滑濾波,把脈沖信號盡量壓低到 2~3 倍脈沖信號平均值的水平即可。電感很容易飽和,因此,L1、L2 一般都采用一種漏感很大的共模電感。
用在交流,直流的都有,通常我們在電源 EMI 濾波器,開關電源中常見到,而直流側少見,在汽車電子中能夠看到用在直流側。
加入共模電感是為了消除并行線路上的共模干擾(有兩線的,也有多線的)。由于電路上兩線阻抗的不平衡,共模干擾最終體現在差模上。用差模濾波方法很難濾除。
共模電感到底需要用在哪。共模干擾通常是電磁輻射,空間耦合過來的,那么無論是交流還是直流,你有長線傳輸,就涉及到共模濾波就得加共模電感。例如:USB 線好多就在線上加磁環。 開關電源入口,交流電是遠距離傳輸過來的就需要加。通常直流側不需要遠傳就不需要加了。沒有共模干擾,加了就是浪費,對電路沒有增益。
電源濾波器的設計通??蓮墓材:筒钅煞矫鎭砜紤]。共模濾波器最重要的部分就是共模扼流圈,與差模扼流圈相比,共模扼流圈的一個顯著優點在于它的電感值極高,而且體積又小,設計共模扼流圈時要考慮的一個重要問題是它的漏感,也就是差模電感。通常,計算漏感的辦法是假定它為共模電感的 1%,實際上漏感為共模電感的 0.5% ~4%之間。在設計最優性能的扼流圈時,這個誤差的影響可能是不容忽視的。
漏感的重要性
漏感是如何形成的呢?緊密繞制,且繞滿一周的環形線圈,即使沒有磁芯,其所有磁通都集中在線圈“芯”內。但是,如果環形線圈沒有繞滿一周,或者繞制不緊密,那么磁通就會從芯中泄漏出來。這種效應與線匝間的相對距離和螺旋管芯體的磁導率成正比。
共模扼流圈有兩個繞組,這兩個繞組被設計成使它們所流過的電流沿線圈芯傳導時方向相反,從而使磁場為 0。如果為了安全起見,芯體上的線圈不是雙線繞制,這樣兩個繞組之間就有相當大的間隙,自然就引起磁通“泄漏”,這即是說,磁場在所關心的各個點上并非真正為 0。共模扼流圈的漏感是差模電感。事實上,與差模有關的磁通必須在某點上離開芯體,換句話說,磁通在芯體外部形成閉合回路,而不僅僅只局限在環形芯體內。
一般 CX 電容可承受 4000Vp 的差模浪涌電壓沖擊,CY 電容可承受 5000Vp 的共模電壓沖擊。正確選擇 L1、L2 和 CX2、CY 參數的大小,就可以抑制 4000Vp 以下的共模和差模浪涌電壓。但如果兩個 CY 電容是安裝在整機線路之中,其總容量不能超過 5000P,如要抑制浪涌電壓超過 4000Vp,還需選用耐壓更高的電容器,以及帶限幅功能的浪涌抑制電路。
所謂抑制,只不過是把尖峰脈沖的幅度降低了一些,然后把其轉換成另一個脈沖寬度相對比較寬,幅度較為平坦的波形輸出,但其能量基本沒有改變。
兩個 CY 電容的容量一般都很小,存儲的能量有限,其對共模抑制的作用并不很大,因此,對共模浪涌抑制主要靠電感 L1 和 L2,但由于 L1、L2 的電感量也受到體積和成本的限制,一般也難以做得很大,所以上面電路對雷電共模浪涌電壓抑制作用很有限。

圖(a)中 L1 與 CY1、 L2 與 CY2,分別對兩路共模浪涌電壓進行抑制,計算時只需計算其中一路即可。Ø對 L1 進行精確計算,須要求解一組 2 階微分方程,結果表明:電容充電是按正弦曲線進行,放電是按余弦曲線進行。但此計算方法比較復雜,這里采用比較簡單的方法。
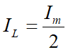
共模信號是一個幅度為 Up、寬度為τ的方波,以及 CY 電容兩端的電壓為 Uc,測流過電感的電流為一寬度等于 2τ的鋸齒波:

流過電感的電流為:

流過電感的最大電流為:

在 2τ期間流過電感的平均電流為:

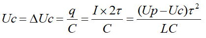
由此可以求得 CY 電容在 2τ期間的電壓變化量為:

上面公式是計算共模浪涌抑制電路中電感 L 和電容 CY 參數的計算公式,式中,Uc 為 CY 電容兩端的電壓,也是浪涌抑制電路的輸出電壓,?Uc 為 CY 電容兩端的電壓變化量,但由于雷電脈沖的周期很長,占空比很小,可以認為 Uc = ?Uc,Up 為共模浪涌脈沖的峰值,q 為 CY 電容存儲的電荷,τ為共模浪涌脈沖的寬度,L 為電感,C 為電容。
根據上面公式,假設浪涌峰值電壓 Up=4000Vp,電容 C=2500p,浪涌抑制電路的輸出電壓 Uc=2000Vp,則需要電感 L 的數值為 1H。顯然這個數值非常大,在實際中很難實現,所以上面電路對雷電共模抑制的能力很有限,此電路還需進一步改進。
差模浪涌電壓抑制,主要是靠圖中的濾波電感 L1、L2 ,和濾波電容 CX ,L1、L2 濾波電感和 CX 濾波電容等參數的選擇,同樣可以用下面公式來進行計算。

但上式中的 L 應該等于 L1 和 L2 兩個濾波電感之和,C=CX,Uc 等于差模抑制輸出電壓。一般,差模抑制輸出電壓應不大于 600Vp,因為很多半導體器件和電容的最大耐壓都在此電壓附近,并且,經過 L1 和 L2 兩個濾波電感以及 CX 電容濾波之后,雷電差模浪涌電壓的幅度雖然降低了,但能量基本上沒有降低,因為經過濾波之后,脈沖寬度會增加,一旦器件被擊穿,大部分都無法恢復到原來的狀態。
根據上面公式,假設浪涌峰值電壓 Up=4000Vp,脈沖寬度為 50uS,差模浪涌抑制電路的輸出電壓 Uc=600Vp,則需要 LC 的數值為 14mH×uF。顯然,這個數值對于一般電子產品的浪涌抑制電路來說還是比較大的,相比之下,增加電感量要比增加電容量更有利,因此最好選用一種有 3 個窗口、用矽鋼片作鐵芯,電感量相對較大(大于 20mH)的電感作為浪涌電感,這種電感共模和差模電感量都很大,并且不容易飽和。 順便指出,整流電路后面的電解濾波電容,同樣也具有抑制浪涌脈沖的功能,如果把此功能也算上,其輸出電壓 Uc 就不能選 600Vp,而只能選為電容器的最高耐壓 Ur(400Vp)。
4、雷擊浪涌脈沖電壓抑制常用器件

避雷器件主要有陶瓷氣體放電管、氧化鋅壓敏電阻、半導體閘流管(TVS)、浪涌抑制電感線圈、X 類浪涌抑制電容等,各種器件要組合使用。
氣體放電管的種類很多,放電電流一般都很大,可達數十 kA,放電電壓比較高,放電管從點火到放電需要一定的時間,并且存在殘存電壓,性能不太穩定;氧化鋅壓敏電阻伏安特性比較好,但受功率的限制,電流相對比放電管小,多次被雷電過流擊穿后,擊穿電壓值會下降,甚至會失效;
半導體 TVS 管伏安特性最好,但功率一般都很小,成本比較高;浪涌抑制線圈是最基本的防雷器件,為防流過電網交流電飽和,必須選用三窗口鐵芯;X 電容也是必須的,要選用容許紋波電流較大的電容。
氣體放電管

氣體放電管指作過電壓保護用的避雷管或天線開關管一類,管內有二個或多個電極,充有一定量的惰性氣體。氣體放電管是一種間隙式的防雷保護元件,它用在通信系統的防雷保護。
放電管的工作原理是氣體間隙放電 i 當放電管兩極之間施加一定電壓時,便在極間產生不均勻電場:在此電場作用下,管內氣體開始游離,當外加電壓增大到使極間場強超過氣體的絕緣強度時,兩極之間的間隙將放電擊穿,由原來的絕緣狀態轉化為導電狀態,導通后放電管兩極之間的電壓維持在放電弧道所決定的殘壓水平,這種殘壓一般很低,從而使得與放電管并聯的電子設備免受過電壓的損壞。
氣體放電管有的是以玻璃作為管子的封裝外殼.也有的用陶瓷作為封裝外殼,放電管內充入電氣性能穩定的惰性氣體(如氬氣和氖氣等),常用放電管的放電電極一般為兩個、三個,電極之間由惰性氣體隔開。按電極個數的設置來劃分,放電管可分為二極、三極放電管。
陶瓷二極放電管由純鐵電極、鎳鉻鈷合金帽、銀銅焊帽和陶瓷管體等主要部件構成。管內放電電極上涂覆有放射性氧化物,管體內壁也涂覆有放射性元素,用于改善放電特性。
放電電極主要有桿形和杯形兩種結構,在桿形電極的放電管中,電極與管體壁之間還要加裝一個圓筒熱屏,該熱屏可以使陶瓷管體受熱趨于均勻,不致出現局部過熱而引起管斷裂。熱屏內也涂覆放射性氧化物,以進一步減小放電分散性。在杯形電極的放電管中,杯口處裝有鉬網,杯內裝有銫元素,其作用也是減小放電分散性。
三極放電管也是由純鐵電極、鎳鉻鈷合金帽、銀銅焊帽和陶瓷管體等部件構成。與二極放電管不同,在三極放電管中增加了鎳鉻鈷合金圓筒,作為第三極,即接地電極。

主要參數:
(1)直流擊穿電壓。此值由施加一個低上升速率(dv/dt=100V/s)的電壓值來決定。
(2)沖擊(或浪涌)擊穿電壓。它代表放電管的動態特性,常用上升速率為 dv/dt=1kV/us 的電壓值來決定。
(3)標稱沖擊放電電流。8/20us 波形(前沿 8us,半峰持續時間 20us)的額定放電電流,通常放電 10 次。
(4)標準放電電流。通過 50Hz 交流電流的額定有效值,規定每次放電的時間為 1s,放電 10 次。
(5)最大單次沖擊放電電流。對 8/20us 電流波的單次最大放電電流。
(6)耐工頻電流值。對 8/20us 電流波的單次最大放電電流。對 50Hz 交流電,能經受連續 9 個周波的最大電流的有效值。
(7)絕緣電阻。對 8/20us 電流波的單次最大放電電流。對 50Hz 交流電,能經受連續 9 個周波的最大電流的有效值。
(8)電容。放電管電極間的電容,一般在 2~10pF 之間,是所有瞬變干擾吸收器件中最小的。

金屬氧化物壓敏電阻



壓敏電阻一般都是以氧化鋅為主要成分,另加少量的其它金屬氧化物(顆粒),如:鈷、猛、鉍等壓制而成。由于兩種不同性質的物體組合在一起,相當于一個 PN 結(二極管),因此,壓敏電阻相當于眾多的 PN 結串、并聯組成。
5、超高浪涌電壓抑制電路
實例 1

上圖是一個可抗擊較強雷電浪涌脈沖電壓的電原理圖,圖中:G1、G2 為氣體放電管,主要用于對高壓共模浪涌脈沖抑制,對高壓差模浪涌脈沖也同樣具有抑制能力;VR 為壓敏電阻,主要用于對高壓差模浪涌脈沖抑制。經過 G1、G2 和 VR 抑制后,共模和差模浪涌脈沖的幅度和能量均大幅度降低。
G1、G2 的擊穿電壓可選 1000Vp~3000Vp,VR 的壓敏電壓一般取工頻電壓最大值的 1.7 倍。
G1、G2 擊穿后會產生后續電流,一定要加保險絲以防后續電流過大使線路短路。
實例 2

增加了兩個壓敏電阻 VR1、VR2 和一個放電管 G3,主要目的是加強對共模浪涌電壓的抑制,由于壓敏電阻有漏電流,而一般電子產品都對漏電流要求很嚴格(小于 0.7mAp),所以圖中加了一個放電管 G3,使平時電路對地的漏電流等于 0。G3 的擊穿電壓要遠小于 G1、G2 的擊穿電壓,采用 G3 對漏電隔離后,壓敏電阻 VR1 或 VR2 的擊穿電壓可相應選得比較低,VR1、VR2 對差模浪涌電壓也有很強的抑制作用。
實例 3

G1 是一個三端放電管,它相當于把兩個二端放電管安裝在一個殼體中,用它可以代替上面兩個實例中的 G1、G2 放電管。除了二端、三端放電管之外,放電管還有四端、五端的,各放電管的用途也不完全相同。
實例 4

增加了兩個壓敏電阻(VR1、VR2),主要目的是為了隔斷 G1 擊穿后產生的后續電流,以防后續電流過大使輸入電路短路,但由于 VR1、VR2 的最大峰值電流一般只有 G1 的幾十分之一,所以,本實例對超高浪涌電壓的抑制能力相對實例 3 要的抑制能力差很多。
實例 5 直接在 PCB 板上制作避雷裝置

在 PCB 板上直接制作放電避雷裝置,可以代替防雷放電管,可以抑制數萬伏共?;虿钅@擞侩妷簺_擊,避雷裝置電極之間距離一般要求比較嚴格,輸入電壓為 AC110V 時,電極之間距離可選 4.5mm,輸入電壓為 AC220V 時,可選 6mm;避雷裝置的中間電極一定要接到三端電源線與 PCB 板連接的端口上。
實例 6 PCB 板氣隙放電裝置代替放電管

在 PCB 板上直接制作氣隙放電裝置,正常放電電壓為每毫米 1000~1500V,4.5mm 爬電距離的放電電壓大約為 4500~6800Vp,6mm 爬電距離的放電電壓大約為 6000~9000Vp。
6、各種防雷器件的連接
避雷器件的安裝順序不能搞錯,放電管必須在最前面,其次是浪涌抑制電感和壓敏電阻(或放電管),再其次才是半導體 TVS 閘流管或 X 類電容及 Y 類電容。


免責聲明:本文為轉載文章,轉載此文目的在于傳遞更多信息,版權歸原作者所有。本文所用視頻、圖片、文字如涉及作品版權問題,請聯系小編進行處理。



