中心論題:
- FADS的基本原理。
- 無線SAW壓力傳感器的原理。
- SAW壓力傳感器無線測量結構。
- SAW單端諧振器的等效電路對SAW壓力傳感器的仿真結果。
- 無線聲表面波壓力傳感器組成廉價且精度較高的組合導航系統。
- 兩個單端諧振器并聯減少了傳播損耗和插入損耗。
- 無線檢測SAW壓力傳感器的中心諧振頻率變化得到壓力變化的數據。
引 言
FADS采用分布在飛行器前端周線(也可機翼兩側)不同位置上的壓力傳感器陣列測得壓力,通過計算間接得到動靜壓,從而獲得真空速、馬赫數、氣壓高度等大氣數據。NASA的Dryden飛行研究中心在19世紀60年代開始了對嵌入式大氣數據系統的研究。這種傳感系統被應用于F-14,F/A-18,X-31,X-33,X-34以及X-38等諸多飛行器上,但其使用的是傳統的壓力傳感器,需要冗長的線纜等,不利于在較小型的武器彈藥上使用。
無線聲表面波壓力傳感器具有體積小、能無線測量的優點,因而嵌入式大氣數據系統使用無線聲表面波壓力傳感器,就能將嵌入式大氣數據系統運用到較小型的武器彈藥上,與小型廉價的捷聯慣導進行組合,可組成廉價但精度較高的組合導航系統,可方便的用于提高小型彈藥的命中精度等。
基本原理
FADS一般安裝在飛行器前端,為了不影響雷達和火控裝置的安裝,也有將FADS安裝在機翼前端。F-14的FADS由23個壓力傳感器組成,安裝在機身前端。X-33的FADS系統則由6個壓力傳感器組成,安裝在機身前端。壓力傳感器的數目并沒有固定的規定。在F-14飛機上,其FADS的壓力傳感器布局如圖1所示。
FADS系統中壓力傳感器數目越多,其容錯性能越好,但系統的計算就越復雜,系統性能要求就越高。但由于測量攻角和側滑角需相應的壓力差,因而在中心點的周圍必須有相對稱的壓力測量點。
FADS系統的空氣動力學模型把位流模型與修正的牛頓流模型(前者主要適用于亞音速條件,后者主要適用于超音速條件)與一個修正系數ε相結合,形成了不同馬赫情況下的帶補償的空氣動力學模型。ε的數值是在綜合考慮了壓縮效應、氣動外形、系統影響等因素而選取的。在飛行中,可以將其看成攻角、側滑角和馬赫數的函數,其函數關系可以在飛行前確定。
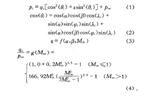
在此省略空氣動力學的推導過程,給出FADS系統完整的空氣動力學模型
式中:pi為第i(i=1,2…23)個壓力傳感器(簡稱i點)所測得的壓強;qc為動壓;p∞為靜壓;M∞為馬赫數;ε為形壓系數;α為攻角;β為側滑角;φi為i點的圓周角;λi為i點的圓錐角;θi為i點的入射角(該點的曲面法線方向與來流速度矢量的夾角);g函數是一個確定的單調函數。通過對壓力點壓力的測量以及相應的算法,可以得到動、靜壓的值、馬赫數、攻角和測滑角,通過這些值又能推算氣壓高度和真空速等大氣參數。
無線SAW壓力傳感器
在飛行器前端安裝FADS,需要體積很小的壓力傳感器進行點測。在文獻[4],[5]中報道的無線SAW壓力傳感器都是通過延遲線實現的,延遲線的插入損耗以及傳播損耗較大,影響SAW壓力傳感器遙測的距離,且SAW延遲線形狀扁長,不適宜安裝于飛行器前端對一個點的壓力進行測量。通過圖2所示的SAW壓力傳感器的結構可改變SAW壓力傳感器的形狀,且能增加SAW壓力傳感器無線測量的距離。
不同于聲表面波延遲線結構的SAW壓力傳感器,圖2所示的結構采用兩個單端諧振器并聯。SAW諧振器在諧振時瑞利波通過反射柵形成多次疊加,其能量也多次疊加,因而相對減少了傳播損耗和插入損耗,具有較高高的Q值。同時SAW諧振器靈敏度高,精確度高,且能長時間保持穩定。利用這種結構設計來無線測量壓力,能減少SAW壓力傳感器的傳播損耗和插入損耗,因而這種原理結構具有良好的應用潛力。
當傳感器表面有壓力作用時,無線SAW壓力傳感器的壓電薄膜就會產生形變,薄膜材料的應變會使得聲表面波傳播速度發生變化,從而使聲表面波的中心諧振頻率發生變化。通過無線檢測SAW壓力傳感器的中心諧振頻率變化,就能得到壓力變化的數據。假設溫度對兩個單端諧振器的中心諧振頻率影響很小,則兩諧振器中心頻率差的變化與所測壓力之間的關系式可表示為
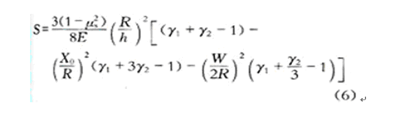
式中,S1和S2分別表示單端諧振器1和單端諧振器2的壓力靈敏系數,與單端諧振器和隔膜的參數有關。壓力靈敏系數可表示為
式中:R為隔膜的半徑;h為隔膜的厚度;E為楊氏模量;μs為泊松比;r1和r2為兩單端諧振器基片材料對機械擾動的線性系數。
通過無線測量SAW兩個諧振器中心頻率差的變化就能得到壓力值,極大地提高了嵌入式大氣數據系統的應用靈活性。
無線測量結構
在嵌入式大氣數據系統中,SAW壓力傳感器無線測量的優點可提高其應用的靈活性。圖3所示為SAW壓力傳感器無線測量結構。
整個無線測量系統由信號詢問與信號接收兩部分電路組成。信號發送裝置由參考振蕩器、RF脈沖發生器以及接收/發送(T/R)轉換開關組成;信號接收裝置由積分下變頻轉換器、兩路A/D轉換器組成。信號處理器模塊將經過A/D轉化后得到的數據進行處理,從中得到相位正交的I路信號和Q路信號,對I路信號和Q路信號處理就能得到SAW傳感器由于物理變化而產生的頻率和相位變化信息,同時信號處理器模塊產生脈沖控制信號以及接收/發送轉換信號,以對接收發送的轉換進行協調。
由于信號收發電路發射脈沖詢問信號后,脈沖信號在傳播、SAW傳感器中處理以及返回過程中都需要時間,所以必須定義相互獨立的發送和接收間隔時間,通過接收/發送開關進行轉換。參考振蕩器在脈沖信號發送時產生詢問信號,而在接收信號時為積分下變頻提供本振參考信號。經下變頻轉換后,由雙路A/D轉換器進行數字化,并通過可編程邏輯器件對信號的接收發送進行控制。信號處理后與慣導系統相聯,組成小型的組合導航系統。
仿真結果
可通過SAW單端諧振器的等效電路對SAW壓力傳感器的整體性能進行分析,圖4為SAW單端諧振器的等效電路。
圖中:C1表示基片彈性引起的動態電容;L1是基片慣性引起的動態電感;R1是阻尼引起的動態電阻;C0是叉指換能器的靜電容。SAW壓力傳感器由兩個單端諧振器并聯得到,通過HPEesoft軟件進行仿真,可得兩諧振器的回波導納幅值與頻率的關系。仿真結果如圖5所示。
在圖5中可以看出,兩SAW諧振器有兩個中心諧振頻率,分別為434 MHz和434.4 MHz。這兩個頻率都在ISM標準無線頻率測量范圍之中,可有效進行無線測量。




