【導讀】逐次逼近型(SAR)ADC是在在工業,汽車,通訊行業中應用最廣泛的ADC之一,例如電機電流采樣,電池電壓電流監控,溫度監控等等。
通常工程師在設計SAR ADC時,通常需要注意以下三個方面:ADC前端驅動設計,參考電壓設計,數字信號輸出部分設計。本文將介紹ADC的前端驅動所需要的注意的一些要素。
如圖所示是一個常見的SAR ADC的驅動電路包括驅動放大器和RC濾波。接下來將從如何設計RC濾波器,以及如何選擇合適的運算放大器展開。

圖1. SAR ADC驅動電路基本架構
如何設計RC濾波網絡
首先我們來看一下RC網絡的設置,對于RC網絡,它的主要作用分為以下兩個方面:
1:對ADC的Csh進行充電,由于ADC采樣保持階段需要輸入給采樣保持電容Csh充電。如圖所示,開始采樣時,Csh的電荷由輸入部分(Qfrm_opa)和RC濾波電容(Qfrm_cflit)提供,保證在一定時間內達到精度的要求。顯然,隨著采樣精度和采樣率的不斷提高,驅動ADC的難度加大,因為必須在有限的時間內采樣時間(tacq)內將Csh上的電壓達到滿足精度要求(1/2LSB內)。所以我們在ADC前加入電容,當采樣保持階段時對Csh進行充電,保證采樣的精度。電阻則作為隔離作用,避免運放直接驅動容性負載,提升系統的穩定性。

圖2. SAR ADC采樣保持階段電流方向
2:RC網絡同時也限制了輸入信號的帶寬,并且降低了運放帶來的噪聲量,但是于此同時,帶寬的限制會使信號的延長建立時間,引起信號的失真
我們設計RC網絡的目標就是在有限的時間內采樣時間(tacq)內將Csh上的電壓達到滿足精度要求(1/2LSB內),如果不加入RC或者RC選擇不合適,可能出現如圖所示的情況(橫坐標為時間,縱左邊為Vfilt電壓,可以看到信號幅值變化大且反向恢復時間長),這是因為運放的帶寬不足或者RC電路中電容太小,導致Qfrm_opa與Qfrm_cflit不能在采樣時間(tacq)內將電荷轉移至Csh中,如果在信號沒有達到足夠的采樣時間內進行采樣,就會產生信號失真。

圖3. 不合適的RC濾波導致信號幅度變化大且反向恢復時間長
顯然,我們無法同一個RC網絡使用在不同的SAR ADC的應用中,那么我們要怎么去為SAR ADC設計一個合適的RC濾波網絡呢?
如下圖所示為SAR ADC的簡化原理圖,以最壞的情況,CSH對地放電為例。當開關S1關閉時,開關S2打開時,電容CIN與CSH共享電荷可得出等式
,由于電容CSH對地放電,則QSH=0,且QIN=VIN*CIN,則可以得出



圖4. SAR ADC驅動電路基本架構
則可以推算出
,如圖所示:


圖5. SAR ADC驅動VIN電壓
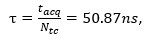
在ADC的采集階段,ADC建立至1/2LSB所需要的RC時間常數
, 其中tacq為采集時間Ntc為建立所需的時間常數數目。所需的時間常數數目可以通過計算階躍大小VSTEP與建立誤差(本例為1/2LSB)之比的自然對數來獲得:


由此,我們可以求出RC的時間常數
,根據
,可以得出RC的值以及帶寬。


以TI 16位ADC:ADS8860 為例,從數據手冊第8頁可以得到以下信息:

圖6. ADS8860數據手冊數據
它的MAX Conversion time為 710ns ,Min Acquisition time 為290ns ,吞吐率為1Msps,假設,參考電壓為5V,信號為100kHz的正弦波
那么在轉換時間,信號最大變化量為:

根據ADS8860的CSH=59pF,一般CIN選擇CSH的20倍以上,這里取CIN=5.9nF則可以計算出Vkick電壓:

接下來計算建立到1/2LSB的時間常數:

則可以得出:

因此選擇R=8.6ohm,帶寬為3.13MHz
將取值帶入仿真后可得圖,相對于沒有RC濾波的ADC而言,加入合適的RC濾波可以使ADC-Vin電壓變化幅度變小,反向建立時間也更短。

圖7. 不合適的RC與加入計算后RC的VIN電壓波形對比
由我們的公式我們可以知道,當吞吐率越高時,我們對采樣保持的時間就相對越短,從而需要更大的RC帶寬。所以當隨著精度和采樣率的不斷提高,設計RC的難度會加大,我們需要權衡設計驅動的參數。
如何選擇適合的驅動放大器
首先必須說明的是驅動放大電路并不是總是需要的,他的作用通常有以下幾個:
1. 用于信號類型的轉換,例如單端信號轉化為差分信號
2. 以對信號進行調理,例如將信號放大/縮小等
3. 如果輸入阻抗小,可以放置運放來增大輸入的阻抗,和減少輸出阻抗
4. 限制帶寬,防止高頻信號輸入進行干擾
當信號帶寬低,信號變化十分緩慢,如氣體,溫度等,可以直接使用RC進行驅動,降低成本,結構如圖所示。

圖8. 無運放驅動SAR ADC電路簡圖
那么在我們選擇運放的時候需要注意以下參數:運放的帶寬,運放的噪聲特性,運放的失真特性等。
運放的帶寬:帶寬大的運放可以讓RC電路更快的進行充電,一般來說,選擇運放的帶寬為RC濾波器的4倍以上,如果需要運放提供電壓增益則需要選擇更大帶寬的運放。但是同時帶寬大的運放往往靜態電流和失調/偏置電流會比較大,所以要進行取舍。
運放的噪聲特性:對于運放的噪聲特性來說,為了不讓運放的噪聲對ADC的精度產生影響,一般會使運放的總噪聲在ADC噪聲的1/5左右。如果,ADC的SNR為86dB,Vref=5V,那么該系統中的總噪聲應該小于:

根據計算得出的總噪聲,取ADC噪聲的1/5,進行計算可以計算出應該選擇的運放的1/f噪聲和寬帶噪聲的最大影響值,假設選用的運放有極小的1/f噪聲可以忽略不計的話,可以經過以下公式計算,得出結果:

像Ti的產品OPA320,由數據手冊第8頁中可得,寬帶噪聲密度為可以滿足要求

圖9. OPA320數據手冊噪聲數據
運放的失真特性:對于ADC的驅動運放來說,我們通常需要選擇輸入輸出軌對軌的運放,防止不必要的輸出失真,但是通常正負軌對軌的運放價格相對的高,所以通常使用的是單電源輸入,單極軌對軌的運放。
免責聲明:本文為轉載文章,轉載此文目的在于傳遞更多信息,版權歸原作者所有。本文所用視頻、圖片、文字如涉及作品版權問題,請聯系小編進行處理。
推薦閱讀: