【導讀】今天跟大家分享一篇關于RC濾波器設計的文章,在嵌入式系統中可以說,"無濾波器,不嵌入式",各種傳感器信號多多少少會攜帶一些噪聲信號,那么通過濾波器就能夠更好的降低和去除噪聲,還原真實有用信號,
今天跟大家分享一篇關于RC濾波器設計的文章,在嵌入式系統中可以說,"無濾波器,不嵌入式",各種傳感器信號多多少少會攜帶一些噪聲信號,那么通過濾波器就能夠更好的降低和去除噪聲,還原真實有用信號,
而無源RC濾波器當然是大部分濾波器中首選的廉價設計,并且能較簡單數字化為軟件濾波器設計,所以軟件與硬件濾波在于一個離散數字化的過程,所以整體設計上大同小異。
然而大部分工作多年的工程師還在盲調RC濾波參數,多多少少感覺有點凄涼,所以下面的內容能夠幫助你更好的認識濾波器及設計過程。
當然很多人會問那還有很多復雜一點的濾波器如FIR,IIR等等,其實都打通小異吧,好了廢話不多說了,繼續看正文!
時域和頻域
當您在示波器上查看電信號時,您會看到一條線,表示電壓隨時間的變化。在任何特定時刻,信號只有一個電壓值。您在示波器上看到的是信號的時域表示。
典型的示波器跟蹤顯示非常直觀,但也有一定的限制性,因為它不直接顯示信號的頻率內容。而與時域表示相反就是頻域,其中一個時刻僅對應于一個電壓值,頻域表示(也稱為頻譜)通過識別同時存在的各種頻率分量來傳達關于信號的信息。
什么是濾波器?
濾波器是一個電路,其去除或“過濾掉”頻率分量的特定范圍。換句話說,它將信號的頻譜分離為將要通過的頻率分量和將被阻隔的頻率分量。
如果您對頻域分析沒有太多經驗,您可能仍然不確定這些頻率成分是什么,以及它們如何在不能同時具有多個電壓值的信號中共存。讓我們看一個有助于澄清這個概念的簡短例子。
假設我們有一個由完美的5kHz正弦波組成的音頻信號。我們知道時域中的正弦波是什么樣的,在頻域中我們只能看到5kHz的頻率“尖峰”。現在讓我們假設我們激活一個500kHz振蕩器,將高頻噪聲引入音頻信號。
在示波器上看到的信號仍然只是一個電壓序列,每個時刻有一個值,但信號看起來會有所不同,因為它的時域變化現在必須反映5kHz正弦波和高頻噪音波動。
然而,在頻域中,正弦波和噪聲是在一個信號中同時存在的單獨的頻率分量。正弦波和噪聲占據了信號頻域表示的不同部分(如圖1所示),這意味著我們可以通過將信號引導通過低頻并阻擋高頻的電路來濾除噪聲。

圖1:正弦波和噪聲信號頻域的不同部分分布
濾波器的類型
濾波器可以放在與濾波器頻率響應的一般特征相對應的廣泛類別中。如果濾波器通過低頻并阻止高頻,則稱為低通濾波器;如果它阻擋低頻并通過高頻,它就是一個高通濾波器。還有帶通濾波器,其僅通過相對窄的頻率范圍,以及帶阻濾波器,其僅阻擋相對窄的頻率范圍(圖2)。

圖2:各濾波器頻域表示
還可以根據用于實現電路的組件類型對濾波器進行分類。無源濾波器使用電阻器,電容器和電感器,這些組件不具備提供放大的能力,因此無源濾波器只能維持或減小輸入信號的幅度。另一方面,有源濾波器既可以濾波信號又可以應用增益,因為它包括有源元件,如晶體管或運算放大器(圖3)。

圖3
這種有源低通濾波器基于流行的Sallen-Key拓撲結構。
本文將探討無源低通濾波器的分析和設計。這些電路在各種系統和應用中發揮著重要作用。
RC低通濾波器
為了創建無源低通濾波器,我們需要將電阻元件與電抗元件組合在一起。換句話說,我們需要一個由電阻器和電容器或電感器組成的電路。從理論上講,電阻—電感(RL)低通拓撲在濾波能力方面與電阻—電容(RC)低通拓撲相當。但實際上,電阻—電容方案更為常見,因此本文的其余部分將重點介紹RC低通濾波器(圖4)。

圖4:RC低通濾波器
如圖所示,通過將一個電阻與信號路徑串聯,并將一個電容與負載并聯,可以產生RC低通響應。在圖中,負載是單個組件,但在實際電路中,它可能更復雜,例如模數轉換器,放大器或示波器的輸入級,用于測量濾波器的響應。
如果我們認識到電阻器和電容器形成與頻率相關的分壓器,就可以直觀地分析RC低通拓撲的濾波動作(圖5)。

圖5:重新繪制RC低通濾波器,使其看起來像分壓器
當輸入信號的頻率低時,電容器的阻抗相對于電阻器的阻抗高;因此,大部分輸入電壓在電容器上(和負載兩端,與電容器并聯)下降。當輸入頻率較高時,電容器的阻抗相對于電阻器的阻抗較低,這意味著電阻器上的電壓降低,并且較少的電壓傳輸到負載。因此,低頻通過并且高頻被阻擋。
RC低通功能的這種定性解釋是重要的第一步,但是當我們需要實際設計電路時它并不是很有用,因為術語“高頻”和“低頻”非常模糊。工程師需要創建通過并阻止特定頻率的電路。例如,在上述音頻系統中,我們希望保留5kHz信號并抑制500kHz信號。這意味著我們需要一個濾波器,從5kHz到500kHz之間的傳遞過渡到阻塞。
RC低通濾波器
濾波器不會引起顯著衰減的頻率范圍稱為通帶,濾波器確實導致顯著衰減的頻率范圍稱為阻帶。模擬濾波器,例如RC低通濾波器,總是從通帶逐漸過渡到阻帶。這意味著無法識別濾波器停止傳遞信號并開始阻塞信號的一個頻率。然而,工程師需要一種方便,簡潔地總結濾波器頻率響應的方法,這就是截止頻率概念發揮作用的地方。
當您查看RC濾波器的頻率響應圖時,您會注意到術語“截止頻率”不是很準確。信號光譜被“切割”成兩半的圖像,其中一個被保留而其中一個被丟棄,不適用,因為隨著頻率從截止點下方移動到截止值以上,衰減逐漸增加。
RC低通濾波器的截止頻率實際上是輸入信號幅度降低3dB的頻率(選擇該值是因為幅度降低3dB對應于功率降低50%)。因此,截止頻率也稱為-3dB頻率,實際上該名稱更準確且信息量更大。術語帶寬是指濾波器通帶的寬度,在低通濾波器的情況下,帶寬等于-3dB頻率(如圖6所示)。

圖6
圖6表示RC低通濾波器的頻率響應的一般特性,帶寬等于-3dB頻率。
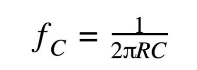
如上所述,RC濾波器的低通行為是由電阻器的頻率無關阻抗與電容器的頻率相關阻抗之間的相互作用引起的。為了確定濾波器頻率響應的細節,我們需要在數學上分析電阻(R)和電容(C)之間的關系,我們還可以操縱這些值,以設計滿足精確規格的濾波器。RC低通濾波器的截止頻率(fC)計算如下:

圖7
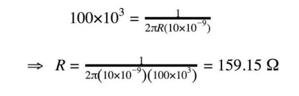
我們來看一個簡單的設計實例。電容值比電阻值更具限制性,因此我們將從常見的電容值(例如10nF)開始,然后我們將使用該公式來確定所需的電阻值。目標是設計一個濾波器,它將保留5kHz音頻波形并抑制500kHz噪聲波形。我們將嘗試100kHz的截止頻率,稍后在文章中我們將更仔細地分析此濾波器對兩個頻率分量的影響,公式如圖8。

圖8
因此,160Ω電阻與10nF電容相結合,將為我們提供一個非常接近所需頻率響應的濾波器。
計算濾波器響應
我們可以通過使用典型分壓器計算的頻率相關版本來計算低通濾波器的理論行為。電阻分壓器的輸出表示如圖9:

圖9

圖10
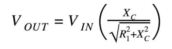
RC濾波器使用等效結構,但是我們有一個電容器代替R2(圖10)。首先,我們用電容器的電抗(XC)代替R2(在分子中)。接下來,我們需要計算總阻抗的大小并將其放在分母中。因此,我們有(圖11):

圖11
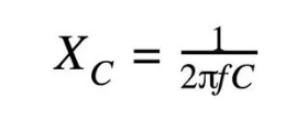
電容器的電抗表示與電流的相反量,但與電阻不同,相反量取決于通過電容器的信號頻率。因此,我們必須計算特定頻率的電抗,計算公式如下(圖12):

圖12
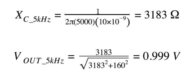
在上面的設計實例中,R≈160Ω且C=10nF。我們假設VIN的幅度是1V,這樣我們就可以簡單地從計算中去掉VIN。首先讓我們以正弦波頻率計算VOUT的幅度(圖12):

圖13
正弦波的幅度基本不變。這很好,因為我們的目的是在抑制噪音的同時保持正弦波。這個結果并不令人驚訝,因為我們選擇的截止頻率(100kHz)遠高于正弦波頻率(5kHz)。
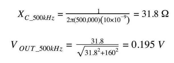
現在讓我們看看濾波器如何成功衰減噪聲分量(圖14)。

圖14
噪聲幅度僅為其原始值的約20%。
可視化濾波器響應
評估濾波器對信號影響的最方便方法是檢查濾波器頻率響應的圖。這些圖形通常稱為波德圖,在垂直軸上具有幅度(以分貝為單位),在水平軸上具有頻率;水平軸通常具有對數標度,使得1Hz和10Hz之間的物理距離與10Hz和100Hz之間,100Hz和1kHz之間的物理距離相同等等(圖15)。這種配置使我們能夠快速準確地評估濾波器在很大頻率范圍內的行為。

圖15:頻率響應圖的一個例子
曲線上的每個點表示如果輸入信號的幅度為1V且頻率等于水平軸上的相應值,則輸出信號將具有的幅度。例如,當輸入頻率為1MHz時,輸出幅度(假設輸入幅度為1V)將為0.1V(因為-20dB對應于十倍減少因子)。
當您花費更多時間使用濾波器電路時,此頻率響應曲線的一般形狀將變得非常熟悉。通帶中的曲線幾乎完全平坦,然后隨著輸入頻率接近截止頻率,它開始下降得更快。最終,衰減的變化率(稱為滾降)穩定在20dB/decade-即,輸入頻率每增加十倍,輸出信號的幅度降低20dB。
評估低通濾波器性能
如果我們仔細繪制我們在本文前面設計的濾波器的頻率響應,我們將看到5kHz時的幅度響應基本上是0dB(即幾乎為零衰減),500kHz時的幅度響應約為-14dB(對應于0.2的增益)。這些值與我們在上一節中執行的計算結果一致。
由于RC濾波器總是從通帶到阻帶逐漸過渡,并且因為衰減永遠不會達到無窮大,我們無法設計出“完美”的濾波器—即對正弦波沒有影響并完全消除噪聲的濾波器。相反,我們總是需要權衡。如果我們將截止頻率移近5kHz,我們將有更多的噪聲衰減,但我們想要發送到揚聲器的正弦波也會衰減更多。如果我們將截止頻率移近500kHz,我們在正弦波頻率下的衰減會減少,但噪聲頻率下的衰減也會減少。
前面我們已經討論了濾波器修改信號中各種頻率分量振幅的方式。然而,除了振幅效應之外,電抗性電路元件總是引入相移。
低通濾波器相移
相位的概念是指周期內特定時刻的周期信號的值。因此,當我們說電路引起相移時,我們的意思是它會在輸入信號和輸出信號之間產生偏差:輸入和輸出信號不再在同一時刻開始和結束它們的周期。相移值(例如45°或90°)表示產生的偏差量。
電路中的每個電抗元件都會引入90°的相移,但這種相移不會同時發生。輸出信號的相位與輸出信號的振幅一樣,隨著輸入頻率的增加而逐漸變化。RC低通濾波器中有一個電抗元件(電容器),因而電路最終也會引入90°的相移。
與振幅響應一樣,通過檢查水平軸表示對數頻率的曲線圖,可以最容易地評估相位響應。以下描述表示了一般模式,查看圖16可以進一步了解詳細信息。
●相移最初為0°。
●相移逐漸增加,直到在截止頻率處達到45°;在這部分響應期間,變化率逐漸增加。
●在截止頻率之后,相移繼續增加,但變化率逐漸降低。
●隨著相移逐漸接近90°,變化率變得非常小。

圖16
實線是振幅響應,虛線是相位響應。截止頻率為100kHz。注意,截止頻率下的相移為45°。
二階低通濾波器
到目前為止,我們假設RC低通濾波器由一個電阻器和一個電容器組成。這種配置是一階濾波器。
無源濾波器的“階數”由電路中電抗元件(即電容器或電感器)的數量決定。高階濾波器具有更多的無功元件,會產生更多的相移和更陡的滾降,而后者是增加濾波器階數的主要動機。
向濾波器添加一個電抗元件,例如,從一階到二階或二階到三階,便可將最大滾降增加20dB/十倍。
二階濾波器通常圍繞由電感器和電容器組成的諧振電路構建,這種拓撲結構稱為RLC(Resistor-Inductor-Capacitor)。但是,也可以創建二階RC濾波器。如下圖所示,我們需要做的就是將兩個一階RC濾波器級聯起來(圖17)。

圖17
雖然這種拓撲肯定會產生二階響應,但它沒有被廣泛使用。正如我們將在下一節中看到的那樣,其頻率響應通常不如二階有源濾波器或二階RLC濾波器。
二階RC濾波器的頻率響應
我們可以嘗試根據所需的截止頻率設計一階濾波器,然后從中選擇兩個串聯連接來,從而構成二階RC低通濾波器。此舉確實可以使濾波器表示出類似的總頻率響應,最大滾降為40dB/decade而不是20dB/decade。
但是,如果我們更仔細地觀察響應,我們會發現-3dB頻率出現降低。二階RC濾波器的行為不符合預期,因為兩個濾波階段不是獨立的,因此不能簡單地將這兩個濾波器連接在一起,并將電路分析為一階低通濾波器疊加一個相同的一階低通過濾。
此外,即使我們在兩級之間插入緩沖器,使得第一階RC和第二階RC可以用作獨立濾波器,此時原始截止頻率處的衰減將是6dB而不是3dB。這恰恰是因為兩階獨立工作而導致的。第一個濾波器在截止頻率處具有3dB的衰減,而第二個濾波器加上了另外3dB的衰減(圖18)。

圖18
二階RC低通濾波器的基本限制是設計人員無法通過調整濾波器的Q因子來微調從通帶到阻帶的轉換;此參數表示頻率響應的阻尼程度。如果將兩個相同的RC低通濾波器級聯,則整體傳遞函數對應于二階響應,但Q因子始終為0.5。當Q=0.5時,濾波器處于過阻尼的邊界,這會導致頻率響應在過渡區域中“下垂”。二階有源濾波器和二階諧振濾波器沒有這一限制;設計人員可以控制Q因子,從而微調過渡區域的頻率響應。
小結
所有電信號都混合了所需頻率分量和不需要的頻率分量。不需要的頻率分量通常由噪聲和干擾引起,并且在某些情況下會對系統的性能產生負面影響。
濾波器是以不同方式對信號頻譜的不同部分作出反應的電路。低通濾波器旨在讓低頻分量通過,同時阻止高頻分量。
低通濾波器的截止頻率表示濾波器從低衰減變為顯著衰減的頻率區域。
RC低通濾波器的輸出電壓可以通過將電路視為由(頻率無關)電阻和(頻率相關)電抗組成的分壓器來計算。
振幅(以dB為單位,在垂直軸上)與對數頻率(以赫茲為單位,在水平軸上)的曲線圖是檢查濾波器理論行為的方便有效的方法,還可以使用相位與對數頻率的關系圖來確定將要應用于輸入信號的相移量。
二階濾波器的滾降更陡峭;當信號不能在所需頻率分量和不需要的頻率分量之間提供寬帶分離時,這種二階響應比較有用。
可以通過構建兩個相同的一階RC低通濾波器,然后將一個的輸出連接到另一個的輸入來創建二階RC低通濾波器,但最終整體的-3dB頻率將低于預期。
免責聲明:本文為轉載文章,轉載此文目的在于傳遞更多信息,版權歸原作者所有。本文所用視頻、圖片、文字如涉及作品版權問題,請電話或者郵箱聯系小編進行侵刪。