【導讀】本文將采用一種與傳統方法不同的方式介紹連續時間Σ-Δ (CTSD) ADC技術,以便信號鏈設計人員了解這種簡單易用的新型精密ADC技術,將其想像成一個連接了某些已知組件的簡單系統。在 第1部分,我們主要介紹了現有信號鏈設計的關鍵挑戰,利用精密CTSD ADC,在實現高精度的同時還可保持連續時間信號完整性,從而可以顯著簡化這些設計。現在的問題是CTSD架構背后是什么使其能夠實現這些優勢?
采用傳統方法解釋CTSD技術概念時,都是先理解離散時間∑-Δ (DTSD)調制器環路的基本原理,然后用等效的連續時間元件來替換離散時間環路元件。雖然通過這種方法可以深入了解∑-Δ功能,但我們的目標是更直觀地了解精密CTSD ADC內在優勢的背后原因。首先,我們將概述一種逐步構建CTSD調制器環路的方法,首先采用常見的閉環反相放大器配置,然后與ADC和DAC組合在一起。最后,我們將評估所構建電路的基本∑-Δ功能。
第1步:回顧閉環反相放大器配置
CTSD ADC的一個關鍵優勢是它提供一個易于驅動的連續電阻輸入,而非傳統的前置開關電容采樣器。反相放大器電路具有類似的輸入阻抗概念,我們將其用作構建CTSD調制器環路的起始模塊。
閉環運算放大器配置一直是以高保真度復制模擬輸入的首選方法,圖1所示為其中一種常見的運算放大器配置,稱為反相放大器配置。1衡量保真度的一個指標是輸出與輸入增益的比值,采用∑-Δ術語表示,也稱為信號傳遞函數(STF)。確定影響STF的參數需要進行電路分析。

圖1.采用反相放大器配置的閉環運算放大器。
為了鞏固我們的數學知識,我們來回顧一下著名VOUT ⁄VIN的由來。首先,我們假設運算放大器A的開環增益無窮大。根據這一假設,運算放大器的負輸入Vn將處于地電位。在這里應用基爾霍夫定律

將其映射到VOUT和VIN,我們得到增益或STF為
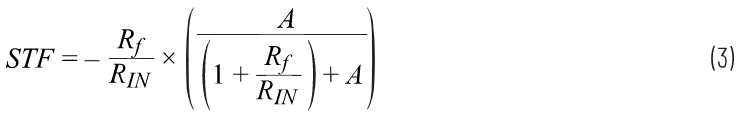
接下來,我們放棄不切實際的無限增益假設,在運算放大器的有限增益A下重新推導STF,則STF如下式所示

在這里,教科書通常會描述每個參數RIN、Rf和A的靈敏度。在本示例中,我們繼續構建CTSD環路。
第2步:將離散部件引入放大器
我們的ADC信號鏈需要數字版本的VIN。下一步,我們要在此電路中引入數字部件。我們沒有按傳統方式直接在輸入信號端放置一個采樣ADC,而是嘗試其他方法,在放大器輸出之后放置一個典型ADC器件來獲取數字信號數據。但是,ADC的輸出不能直接用作反饋,因為它必須是模擬電壓。因此,我們需要在ADC之后放置一個電壓數模轉換器(DAC),如圖2所示。

圖2.在反相放大器配置中引入ADC和DAC。
采用ADC和DAC后,VOUT仍能表示VIN,但由于增加了數字部件,因此存在量化誤差。所以,從VIN到VOUT的信號流沒有變化。這里要注意的一點是,為了使環路功能相對于0 V保持對稱,并簡化數學推導,我們這樣選擇ADC和DAC的基準電壓,如下所示
第3步:引入模擬累加器 — 積分器
圖2中的閉環配置是否穩定?ADC和DAC均為在采樣時鐘MCLK下工作的離散元件。設計無延遲ADC或DAC一直是轉換器專家無法實現的夢想。由于這些環路元件采用時序控制,通常在一個時鐘沿進行輸入采樣,在另一個時鐘沿進行處理。因此,ADC和DAC組合輸出VOUT(即圖2中的反饋)需要延遲1個時鐘周期后才可用。
這種反饋延遲對穩定性有影響嗎?我們來看看VIN是如何傳輸的。為簡化起見,我們假設VIN = 1,RIN = 1,Rf = 1,運算放大器A的增益為100。在第一個時鐘周期,輸入電壓為1,DAC輸出反饋VOUT或VOUTDAC為0,并且在下一個時鐘沿前不可用。當我們跟蹤放大器和ADC的輸入和輸出反饋之間的誤差時,可以看到輸出一直呈指數增長,這在技術上稱為失控問題。
表1.時鐘沿采樣

這是因為ADC輸入對放大器獲得的瞬時誤差產生的影響;也就是說,甚至在獲得反饋之前,就能確定ADC會產生這種影響,而這是我們不希望的。如果ADC影響累積的平均誤差數據,使得由于1個時鐘周期延遲反饋導致的誤差達到平均值,系統的輸出將受限。
積分器是平均累加器的等效模擬器件。環路增益仍然很高,但僅在低頻下很高,或者說在目標頻率帶寬下很高。這確保ADC不會出現任何可能導致失控情況的瞬時誤差。因此,現在將環路中的放大器改為積分器后接ADC和DAC,如圖3a所示。

圖3.(a) 將積分器引入環路。(b) 重新布局環路,重點將DOUTADC作為輸出。
第4步:簡化反饋電阻
這里的目標元件是DOUTADC,我們來重新布局環路元件,重點是將DOUTADC作為系統的輸出,如圖3b所示。接下來,我們來考慮DAC和Rf路徑的簡化。為此,我們先深入了解一下DAC。DAC的作用是將DIN數字信號轉換為與基準電壓成比例的等效模擬電流或電壓。為了進一步擴大基準電壓源連續性的優勢,我們考慮采用一個基于梯形電阻的通用DAC架構,該電阻對于基準電壓源沒有開關負載。我們來看測溫電阻DAC,2根據等式5,它將DIN轉換為DAC電流。

其中 VREF = VREFP – VREFM,即DAC的總基準電壓。
● DIN = 測溫代碼中的數字輸入
● Rf = 反饋電阻;拆分為每個單位元件
● N = 位數
圖4.通用測溫電阻DAC。
為了獲得電壓輸出,使用跨阻配置的運算放大器進行I至V轉換,3 如圖4所示。因此,
回到圖3b的離散環路,此VOUTDAC再次通過反相放大器的反饋電阻被轉換回電流Ifb,即信號流為IDAC → VOUTDA C → Ifb。通過數學式表示為:

從上面的信號流和公式可以看出,將VOUTDAC轉換為Ifb是一個冗余步驟,可以繞過。刪除冗余元件,并且為了簡單起見,將(VREFP – VREFM)表示為VREF,我們來重新繪制環路,如圖5所示。

圖5.刪除冗余I至V轉換部分和反饋電阻。
瞧!我們構建了一個一階Σ-Δ環路!將所有已知元件即反相放大器、ADC和DAC接在一起。
第5步:了解過采樣
至此我們掌握了CTSD環路的構建,但尚未認識到這個特殊環路的獨特之處。首先來了解過采樣。ADC數據僅在有足夠的采樣和數字化數據點來提取或解讀模擬信號信息時才有用。奈奎斯特準則建議,為了忠實地重構輸入信號,ADC的采樣頻率至少應該是信號頻率的兩倍。如果我們在這個最低要求基礎上繼續增加更多的數據點,將會進一步減少解讀誤差。遵循這一思路,在∑-Δ中選擇的采樣頻率要比建議的奈奎斯特頻率高得多,這稱為過采樣。過采樣4將總噪聲分散到更高的頻率范圍,有助于減少目標頻帶中的量化噪聲,如圖6所示。

圖6.奈奎斯特采樣和過采樣之間的噪聲譜密度比較。
第6步:了解噪聲整形
當∑-Δ專家使用噪聲傳遞函數(NTF)或噪聲整形等術語時,信號鏈設計人員不應該感到迷茫,4我們的下一步將幫助他們直觀地了解∑-Δ轉換器特有的這些術語。我們來回顧一下簡單的反相放大器配置以及放大器輸出端產生的誤差Qe,如圖7所示。

圖7.反相放大器配置中產生誤差。
此誤差在輸出端的貢獻因素可量化為

從數學公式可以看出,誤差Qe由放大器的開環增益衰減,這再次表明了閉環的優勢。
這種對閉環優勢的理解可以延伸到CTSD環路中ADC的量化誤差Qe,此誤差是由于積分器輸出端連續信號的數字化引起的,如圖8所示。

圖8.∑-Δ環路中產生量化誤差Qe。
我們現在可以直觀地得出結論,此Qe可通過積分器衰減。積分器TF為|HINTEG (f)|= 1/|s × RC| = 1/2πfRC,其相應的頻域表示如圖9所示。其曲線等同于在低頻下具有高增益的低通濾波器曲線,增益隨頻率的增加呈線性減小。相應地,Qe的衰減變化與高通濾波器的表現類似。

圖9.積分器傳遞函數。
此衰減因數的數學表示是噪聲傳遞函數。讓我們暫時忽略ADC中的采樣器和DAC中的開關。NTF即VOUTADC / Qe可通過與反相放大器配置一樣的方式來評估,其在頻域中的變化曲線與高通濾波器曲線類似,如圖10所示。
在目標頻帶中,量化噪聲被完全衰減并推至"與我們無關"的高頻。這就是所謂的噪聲整形。

圖10.沒有采樣器時的噪聲傳遞函數——具有高通濾波器曲線。
由于環路中有采樣器,量化噪聲整形類比保持不變。不同的是,NTF頻率響應將在每個fS倍數處復制圖像,如圖10所示,從而在采樣頻率的每個整數倍處產生陷波。

圖11.CTSD ADC的噪聲傳遞函數。
∑-Δ架構的獨特之處在于,它將一個積分器和一個DAC環路放置在一個原始ADC(例如,4位ADC)周圍,通過過采樣和噪聲整形大幅減少目標頻率帶寬中的量化噪聲,使這個原始ADC變成一個16位或24位精密ADC。
這些一階CTSD ADC的基本原理現在可以擴展到任意階的調制器環路。采樣頻率、原始ADC規格和環路階數是受ADC性能要求驅動的主要設計決策因素。
第7步:利用數字濾波器完成CTSD調制器
一般來講,在ADC信號鏈中,數字化數據由外部數字控制器進行后處理,以提取任何信號信息。我們現在知道,在∑-Δ架構中,將對信號進行過采樣。如果將此過采樣數字數據直接提供給外部控制器,就需要處理大量冗余數據。這會導致數字控制器設計中的功率和電路板空間成本開銷過大。因此,在數據提供給數字控制器之前,在不影響性能的情況下,應有效地降低數據采樣。此過程稱為抽取,由數字抽取濾波器完成。圖11所示為具有片內數字抽取濾波器的典型CTSD調制器。


圖12.(a) 從模擬輸入到數字輸出的CTSD ADC調制器環路的方框圖。(b) 調制器輸出端和數字濾波器輸出端的輸入信號的頻譜表示。
圖12b所示為帶內模擬輸入信號的頻率響應。在調制器的輸出端,我們看到對量化噪聲進行噪聲整形后,目標頻帶中的量化噪聲大幅降低。數字濾波器有助于衰減超出此目標頻率帶寬的整形后噪聲,這樣最終的數字輸出DOUT將處于奈奎斯特采樣速率。
第8步:了解CTSD ADC的時鐘靈敏度
現在,我們知道CTSD ADC如何保持輸入信號的連續完整性,這大大簡化了信號鏈的設計。此架構也有一些限制,主要是處理采樣時鐘MCLK。CTSD調制器環路的工作原理是累積IIN和IDAC之間的誤差電流。此積分值中的任何誤差都會導致環路中的ADC對此誤差進行采樣,并在輸出中反映出來。對于我們的一階積分器環路,在恒定IIN和IDAC的Ts采樣時間段的積分值表示為

對于0輸入,會影響此積分誤差的參數包括
● MCLK頻率:如等式10所示,如果MCLK頻率縮放,控制積分斜率的RC系數也需要重新調整以得到相同的積分值。這意味著CTSD調制器針對固定的MCLK時鐘頻率進行調諧,無法支持變化的MCLK。
● MCLK抖動:DAC代碼以及IDAC會改變每個時鐘時間段Ts。如果IDAC時間段隨機改變,平均積分值就會不斷變化,如圖13所示。因此,采樣時鐘時間段中以抖動形式出現的任何誤差都會影響調制器環路的性能。

圖13.CTSD調制器的時鐘靈敏度。
出于上述原因,CTSD ADC對MCLK的頻率和抖動敏感。5但是,ADI已經找到了解決這些誤差問題的方法。例如,生成精確的低抖動MCLK并在系統中傳送到ADC的挑戰,可以通過在ADC附近使用一個低成本的本地晶體振蕩器來解決。固定采樣頻率周圍的誤差問題已通過使用創新的異步采樣速率轉換(ASRC)解決,該轉換無需考慮固定采樣MCLK,可以為數字控制器提供獨立可變的數字輸出數據速率。本系列后續文章將詳細介紹更多相關信息。
第9步:瞧!一切準備就緒,可以向伙伴們解釋CTSD概念了!
第1部分 強調了CTSD ADC的某些信號鏈優勢,而第2部分重點介紹從第1步到第6步使用閉環運算放大器配置概念構建調制器環路的見解。圖11a也有助于我們看清這些優勢。
CTSD ADC的輸入阻抗等同于反相放大器的輸入阻抗,它是電阻性的,且易于驅動。通過使用創新技術,使得調制器環路的DAC所使用的基準電壓源也成為電阻性。ADC的采樣器位于積分器之后,并非直接放在輸入端,從而可實現對目標頻帶之外干擾源的固有混疊抑制。在本系列接下來的幾篇文章中,我們將深入探討這些優勢及其對信號鏈的影響。在下一篇文章中,我們將首先介紹最獨特的優勢:固有混疊抑制。敬請關注第3部分,了解固有混疊抑制及其使用一組新的測量和性能參數實現量化的詳細信息,這些參數首次通過基于CTSD架構的AD4134引入。
參考電路
1 Hank Zumbahlen。 “微型教程MT-213:反相放大器.”ADI公司,2013年2月。
2 Walt Kester。 “MT-014教程:基本DAC架構I:DAC串和溫度計(完全解碼)DAC.” ADI公司,2009年。
3 Luis Orozco。 “可編程增益跨阻放大器使光譜系統的動態范圍達到最大.” 《模擬對話》,第47卷第2期,2013年5月。
4 Walt Kester。 “MT-022教程:ADC架構III:Σ-Δ型ADC基礎.” ADI公司,2009年。
5 Pawel Czapor。“Σ-Δ ADC時鐘——不只是抖動.” 模擬對話,第53卷第3期,2019年4月。
Pavan、Shanthi、Richard Schreier和Gabor C. Temes。 了解∑-?數據轉換器,第2版,2017年1月。
致謝
作者在此向Praveen Varma和Roberto Maurino致謝,感謝他們在以簡化方式解釋CTSD ADC技術方面提供的有益見解。
免責聲明:本文為轉載文章,轉載此文目的在于傳遞更多信息,版權歸原作者所有。本文所用視頻、圖片、文字如涉及作品版權問題,請聯系小編進行處理。
推薦閱讀:




