【導讀】任何導熱材料都有熱阻,而且熱阻與材料面積成反比,與厚度成正比。按道理說,銅基板也會有額外的熱阻,那為什么實際情況是有銅基板的模塊散熱更好呢?這是因為熱的橫向擴散帶來的好處。
前言
功率半導體熱設計是實現IGBT、碳化硅SiC高功率密度的基礎,只有掌握功率半導體的熱設計基礎知識,才能完成精確熱設計,提高功率器件的利用率,降低系統成本,并保證系統的可靠性。
功率器件熱設計基礎系列文章會比較系統地講解熱設計基礎知識,相關標準和工程測量方法。
任何導熱材料都有熱阻,而且熱阻與材料面積成反比,與厚度成正比。按道理說,銅基板也會有額外的熱阻,那為什么實際情況是有銅基板的模塊散熱更好呢?這是因為熱的橫向擴散帶來的好處。
熱橫向擴散
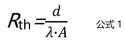
除了熱阻熱容,另一個影響半導體散熱的重要物理效應為熱的橫向傳導。這個術語指熱能在熱導體內立體交叉傳輸,即熱量不僅能垂直傳導也可以橫向傳導。根據公式1,可由表面積A和厚度d計算Rth。
如果熱源的熱流Pth,C從一個有限面向另一個面積更大的熱導體傳導,熱量的出口面積Aout比進口表面積Ain大,因此熱流密度不斷減小,但總熱量不變,如圖一和圖二所示。
出口表面積Aout比進口表面積Ain大多少取決于兩個因素:
1.平板的厚度d
2.熱擴散角α
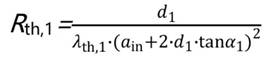
在熱的橫向傳導時,定為一個方形熱源,熱導體的熱阻可以近似計算為:
式中,a2in為入口表面Ain的邊長(m)。
熱擴散角α表示熱導體的一種特性,如果有幾層不同的材質,每層的Rth必須單獨確定,然后綜合所有熱阻值得出總熱阻。圖三給出了采用兩層不同材質散熱時熱的橫向傳導。
由于熱的橫向傳導,根據方形進口表面積:
第一層材料的熱阻為:
而對于第二層材料,第一層的橫向傳導導致第二層入口表面積增大為:
這樣第二層材料的熱阻為:
而它有效的出口面積:![]()
因此,綜合兩層的情況得到總的熱阻為:
分析
基于這知識點,我們可以做什么分析呢?
采用相同芯片的銅基板模塊FS50R12KT4_B15比DCB模塊FS50R12W2T4散熱性能好,以50A 1200V IGBT4技術的模塊為例,結對散熱器的熱阻差48%。
由于DCB模塊FS50R12W2T4沒有銅基板,結對殼的熱阻RthJC=0.45k/W,比有銅基板模塊FS50R12KT4_B15熱阻結對殼的熱阻要低一些,因為銅基板引入的熱阻;但DCB模塊殼對散熱器的熱阻要高很多,因為熱擴散效應。
單管IKW40N120T2與模塊比,更小的芯片尺寸,40A單管的結對殼的熱阻RthJC=0.31k/W,遠低于模塊,這是因為芯片直接焊接在銅框架上,由于熱擴散效應,散熱更好。
4個芯片比單個芯片散熱要好。
要驗證我們的猜想4個芯片通過并聯實現大電流要比單個大電流芯片散熱要好,可以研究圖二中的Aout的值。
我們做一個paper design,把4個50A 1200V芯片IGC50T120T6RQ,取代單個200A 1200V芯片,為了簡化問題,我們假設芯片是直接燒結在3mm厚的銅板上,并假設熱擴散角是45度。
通過下表的計算發現,4個50A芯片的Aout=100.9*4=403.6mm2,比單個200A芯片280mm2要大44%,散熱更好。
總結
本文第一章摘自參考資料《IGBT模塊:技術、驅動和應用》,通過分析各種封裝產品的數值給讀者量化的概念,供參考。
免責聲明:本文為轉載文章,轉載此文目的在于傳遞更多信息,版權歸原作者所有。本文所用視頻、圖片、文字如涉及作品版權問題,請聯系小編進行處理。
推薦閱讀:






